Inhalt

LG Nürnberg-Fürth, Endurteil v. 30.06.2022 – 2 O 6448/20
Titel:

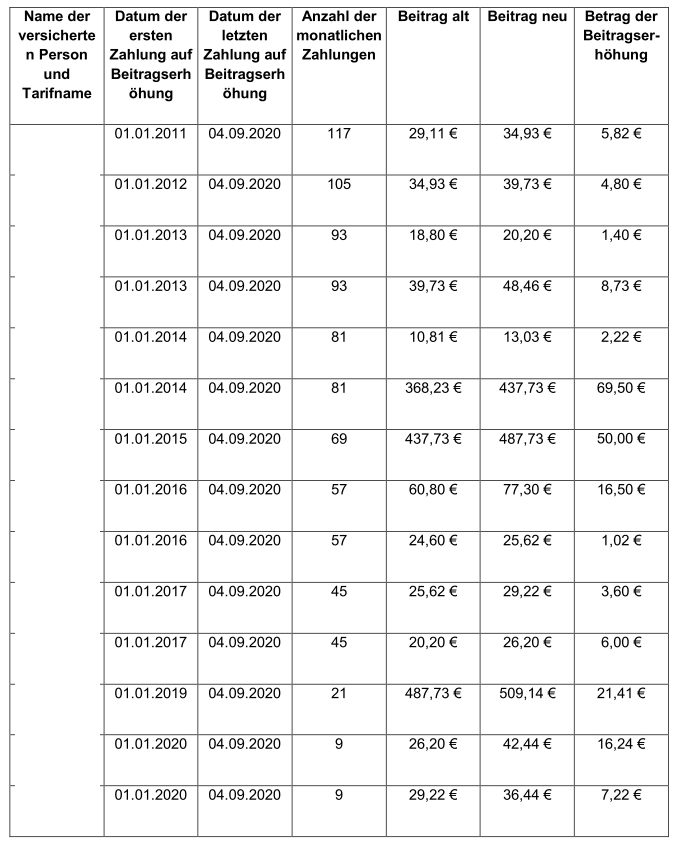
Unwirksame Prämienerhöhung und Aufrechnung mit Beitragsrückerstattung

Normenketten:
VVG § 203 Abs. 2, Abs. 5
VAG § 155 Abs. 3
MB/KK 2009 § 8b Abs. 1, Abs. 2
BGB § 199 Abs. 1 Nr. 2, § 307, § 387, § 389, § 812
ZPO § 4
Leitsätze:
1. Eine Aufrechnung mit Beitragsrückerstattungen kann lediglich insoweit begründet sein, als diese infolge einer unwirksamen Prämienerhöhung höher ausfallen, als auf Basis der nicht erhöhten Prämie. (Rn. 106)
2. Nutzungen bleiben als unselbständige Nebenforderungen nach § 4 ZPO streitwertneutral. (Rn. 125)
Schlagworte:
private Krankenversicherung, Prämienerhöhung, Beitragsrückerstattung, Aufrechnung, Nutzungen, Nebenforderung, Streitwert
Fundstellen:
BeckRS 2022, 16983
LSK 2022, 16983
r+s 2022, 578

Tenor

1.Es wird festgestellt, dass folgende Erhöhungen des Monatsbeitrags in der zwischen der Klägerseite und der Beklagten bestehenden Kranken-/ Pflegeversicherung mit der Versicherungsnummer ... unwirksam sind: 
e) im Tarif KHT 2/ 51,13 die Erhöhung zum 01.01.2014 in Höhe von 2,22 €, bis einschließlich 31.12.2018
f) im Tarif VITAL 250 die Erhöhung zum 01.01.2014 in Höhe von 69,50 €, bis einschließlich 31.12.2018
g) im Tarif VITAL 250 die Erhöhung zum 01.01.2015 in Höhe von 50,00 €, bis einschließlich 31.12.2018
h) im Tarif ZPRO die Erhöhung zum 01.01.2016 in Höhe von 16,50 € bis einschließlich 28.2.2021, 
i) im Tarif ESP/ 100 die Erhöhung zum 01.01.2016 in Höhe von 1,02 € bis einschließlich 31.12.2016, 
und die Klägerseite nicht zur Zahlung des jeweiligen Erhöhungsbetrages verpflichtet, sowie der Gesamtbeitrag unter Berücksichtigung der erfolgten Absenkungen zu reduzieren ist auf insgesamt 633,58 € für die Jahre 2017 und 2018 und 755,30 € für das Jahr 2019 und 2020 bis einschließlich 28.2.2021.
2.Die Beklagte wird verurteilt, an die Klägerseite 2.424,69 € nebst Zinsen hieraus in Höhe von fünf Prozentpunkten über dem jeweiligen Basiszinssatz ab 19.11.2020 zu zahlen. 
3.Es wird festgestellt, dass die Beklagte
a) der Klägerseite zur Herausgabe der Nutzungen verpflichtet ist, die sie ab dem 1.1.2017 bis längstens zum 18.11.2020 aus dem Prämienanteil gezogen hat, den die Klägerseite auf die unter 1) aufgeführten Beitragserhöhungen gezahlt hat, 
b) die nach 3a) herauszugebenden Nutzungen in Höhe von fünf Prozentpunkten über dem jeweiligen Basiszinssatz ab 19.11.2020 zu verzinsen hat. 
4.Im Übrigen wird die Klage abgewiesen. 
5.Von den Kosten des Rechtsstreits haben die Klägerin 64% und die Beklagte 36% zu tragen.
6.Das Urteil ist gegen Sicherheitsleistung in Höhe von 110 % des jeweils zu vollstreckenden Betrags vorläufig vollstreckbar. 
Beschluss
Der Streitwert wird auf 22.485,06 € festgesetzt.

Tatbestand

1
Die Parteien streiten über die Wirksamkeit von Beitragserhöhungen in der privaten Kranken- und Pflegeversicherung der Klagepartei.
2
Die Klagepartei hält seit über 20 Jahren bei der Beklagten einen Vertrag über eine private Krankheitskosten- und Pflegeversicherung. Dem Versicherungsvertrag liegen die Allgemeinen Versicherungsbedingungen (AVB) - die im Wesentlichen den Musterbedingungen MBKK entsprechen - und Tarifbedingungen der Beklagten (Anlage BLD 1) zugrunde.
3
Für den Versicherungsvertrag erfolgten mit Zustimmung des jeweiligen Prämientreuhänders folgende Beitragsanpassungen, auf die die Klagepartei in der Folgezeit die sich hieraus jeweils ergebenden neuen Beiträge zahlte:
4
Die Beklagte informierte die Klagepartei jeweils mit Mitteilungsschreiben über die anstehenden Prämienanpassungen. Auf die als Anlage BLD5 vorgelegten Anpassungsmitteilungen wird Bezug genommen. Von den durch die Beklagte der Klägerin geleisteten Beitragsrückerstattungen entfallen auf den Mehrbetrag der streitgegenständlichen Beitragsanpassungen im Tarif Vital 250 für das Jahr 2014 125,10 €, für die Jahre 2015-2018 jeweils 215,09 € und für die Jahre 2019-2020 jeweils 253,63 €.
5
Mit der Klageerwiderung teilte die Beklagte die für die Anpassungen jeweils maßgeblichen auslösenden Faktoren mit. Auslöser sämtlicher Anpassungen waren geänderte Leistungsausgaben. Eine Anpassung aufgrund geänderter Sterbewahrscheinlichkeiten erfolgte nicht. Die Beklagte wies vorgerichtlich jegliche Ansprüche zurück.
6
Die Klagepartei ist der Ansicht, dass die Anpassungen unwirksam seien, da die jeweiligen Mitteilungen nicht den gesetzlichen Vorgaben nach § 203 Abs. 5 VVG entsprächen. Es bestehe deshalb ein Anspruch auf vollumfängliche Rückzahlung der geleisteten Erhöhungsbeiträge sowie hieraus gezogener Nutzungen. Die erfolgsabhängigen Beitragsrückerstattungen könnten sich nicht auf den Rückforderungsanspruch auswirken. Zudem bestehe ein entsprechendes Feststellungsinteresse. Aus den unwirksamen Anpassungen abgeleitete Ansprüche seien nicht verjährt, da die Klagepartei in Folge der zunächst bestehenden unsicheren und zweifelhaften Rechtslage nicht die erforderliche Kenntnis von der Unwirksamkeit der Beitragsanpassungen gehabt habe.
7
Die Klagepartei beantragte zunächst: 1) Es wird festgestellt, dass folgende Erhöhungen des Monatsbeitrags in der zwischen der Klägerseite und der Beklagten bestehenden Kranken-/ Pflegeversicherung mit der Versicherungsnummer ... unwirksam sind:
a) im Tarif TV 42/ 92,03 die Erhöhung zum 01.01.2011 in Höhe von 5,82 €,
b) im Tarif TV 42/ 92,03 die Erhöhung zum 01.01.2012 in Höhe von 4,80 €,
c) im Tarif EHP/ 100 die Erhöhung zum 01.01.2013 in Höhe von 1,40 €,
d) im Tarif TV 42/ 92,03 die Erhöhung zum 01.01.2013 in Höhe von 8,73 €,
e) im Tarif KHT 2/ 51,13 die Erhöhung zum 01.01.2014 in Höhe von 2,22 €,
f) im Tarif VITAL 250 die Erhöhung zum 01.01.2014 in Höhe von 69,50 €,
g) im Tarif VITAL 250 die Erhöhung zum 01.01.2015 in Höhe von 50,00 €,
h) im Tarif ZPRO die Erhöhung zum 01.01.2016 in Höhe von 16,50 €,
i) im Tarif ESP/ 100 die Erhöhung zum 01.01.2016 in Höhe von 1,02 €,
j) im Tarif ESP/ 100 die Erhöhung zum 01.01.2017 in Höhe von 3,60 €,
k) im Tarif EHP/ 100 die Erhöhung zum 01.01.2017 in Höhe von 6,00 €,
l) im Tarif VITAL 250 die Erhöhung zum 01.01.2019 in Höhe von 21,41 €,
m) im Tarif EHP/ 100 die Erhöhung zum 01.01.2020 in Höhe von 16,24 €,
n) im Tarif ESP/ 100 die Erhöhung zum 01.01.2020 in Höhe von 7,22 €,
und die Klägerseite nicht zur Zahlung des jeweiligen Erhöhungsbetrages verpflichtet, sowie der Gesamtbeitrag unter Berücksichtigung der erfolgten Absenkungen auf insgesamt 557,34 € zu reduzieren ist.
2) Die Beklagte wird verurteilt, an die Klägerseite 13.477,74 € nebst Zinsen hieraus in Höhe von fünf Prozentpunkten über dem jeweiligen Basiszinssatz ab Rechtshängigkeit zu zahlen.
3) Es wird festgestellt, dass die Beklagte
a) der Klägerseite zur Herausgabe der Nutzungen verpflichtet ist, die sie aus dem Prämienanteil gezogen hat, den die Klägerseite auf die unter 1) aufgeführten Beitragserhöhungen gezahlt hat,
b) die nach 3a) herauszugebenden Nutzungen in Höhe von fünf Prozentpunkten über dem jeweiligen Basiszinssatz ab Rechtshängigkeit zu verzinsen hat.
8
Mit Schriftsatz vom 12.2.2021, der Beklagten zugestellt am 17.2.2021, hat die Klagepartei die ursprünglichen Anträge in Ziffer 1) a) bis c) teilweise zurückgenommen, hinsichtlich einer weiteren Beitragsanpassung erweitert und den Rückforderungsanspruch im Klageantrag Ziffer 2) reduziert.
9
Die Klagepartei beantragt damit zuletzt: 1) Es wird festgestellt, dass folgende Erhöhungen des Monatsbeitrags in der zwischen der Klägerseite und der Beklagten bestehenden Kranken-/ Pflegeversicherung mit der Versicherungsnummer ... unwirksam sind:
a) im Tarif TV 42/ 92,03 die Erhöhung zum 01.01.2011 in Höhe von 5,82 € ab dem 01.01.2017,
b) im Tarif TV 42/ 92,03 die Erhöhung zum 01.01.2012 in Höhe von 4,80 € ab dem 01.01.2017,
c) im Tarif EHP/ 100 die Erhöhung zum 01.01.2013 in Höhe von 1,40 € ab dem 01.01.2017,
d) im Tarif TV 42/ 92,03 die Erhöhung zum 01.01.2013 in Höhe von 8,73 €,
e) im Tarif KHT 2/ 51,13 die Erhöhung zum 01.01.2014 in Höhe von 2,22 €,
f) im Tarif VITAL 250 die Erhöhung zum 01.01.2014 in Höhe von 69,50 €,
g) im Tarif VITAL 250 die Erhöhung zum 01.01.2015 in Höhe von 50,00 €,
h) im Tarif ZPRO die Erhöhung zum 01.01.2016 in Höhe von 16,50 €,
i) im Tarif ESP/ 100 die Erhöhung zum 01.01.2016 in Höhe von 1,02 €,
j) im Tarif ESP/ 100 die Erhöhung zum 01.01.2017 in Höhe von 3,60 €,
k) im Tarif EHP/ 100 die Erhöhung zum 01.01.2017 in Höhe von 6,00 €,
l) im Tarif VITAL 250 die Erhöhung zum 01.01.2019 in Höhe von 21,41 €,
m) im Tarif EHP/ 100 die Erhöhung zum 01.01.2020 in Höhe von 16,24 €,
n) im Tarif ESP/ 100 die Erhöhung zum 01.01.2020 in Höhe von 7,22 €,
o) im Tarif KHT 2 die Beitragssenkung zum 01.01.2019 in Höhe von -1,77 €
und die Klägerseite nicht zur Zahlung des jeweiligen Erhöhungsbetrages verpflichtet, sowie der Gesamtbeitrag unter Berücksichtigung der erfolgten Absenkungen auf insgesamt 557,34 € zu reduzieren ist.
2) Die Beklagte wird verurteilt, an die Klägerseite 11.972,97 € nebst Zinsen hieraus in Höhe von fünf Prozentpunkten über dem jeweiligen Basiszinssatz ab Rechtshängigkeit zu zahlen.
3) Es wird festgestellt, dass die Beklagte
a) der Klägerseite zur Herausgabe der Nutzungen verpflichtet ist, die sie aus dem Prämienanteil gezogen hat, den die Klägerseite auf die unter 1) aufgeführten Beitragserhöhungen gezahlt hat,
b) die nach 3a) herauszugebenden Nutzungen in Höhe von fünf Prozentpunkten über dem jeweiligen Basiszinssatz ab Rechtshängigkeit zu verzinsen hat.
10
Die Beklagte beantragt,
Die Klage wird abgewiesen.
11
Die Beklagte ist der Ansicht, dass sämtliche streitgegenständlichen Anpassungen den Begründungserfordernissen der höchstrichterlichen Rechtsprechung genügten. Die Anpassungen seien auch in materieller und kalkulatorischer Hinsicht ordnungsgemäß erfolgt. Hierzu bietet die Beklagte nach Sicherstellung der Geheimhaltung die Vorlage aller einschlägigen Unterlagen, sowie die Erholung eines versicherungsmathematischen Sachverständigengutachtens an. Etwaige Ansprüche aus unwirksamen Beitragsanpassungen seien zudem verjährt. Da die Klagepartei während der Vertragslaufzeit Beitragsrückerstattungen erhalten habe (Anlage BLD6; Klageerwiderung S. 3), habe sie die eingeklagten Beitragszahlungen überhaupt nicht erbracht. Insoweit hat die Beklagte mit Schriftsatz vom 23.02.2022, der Klagepartei zugegangen am 07.04.2022, vorsorglich die Aufrechnung mit einem Betrag in Höhe von insgesamt 1.239,09 € erklärt.
12
Hilfsweise beruft sich die Beklagte auf Entreicherung, da verschiedene Prämienbestandteile dem Versichertenkollektiv gutgeschrieben worden seien.
13
Im übrigen wird zur Ergänzung des Tatbestandes auf die gewechselten Schriftsätze samt Anlagen Bezug genommen. Die Klage ist der Beklagten am 18.11.2020 zugestellt worden. Eine Beweisaufnahme hat nicht stattgefunden.
14
Mit Beschluss vom 10.05.2022 wurde mit Zustimmung der Parteien die Entscheidung im schriftlichen Verfahren angeordnet, wobei die Frist zur Einreichung von Schriftsätzen auf den 07.06.2021 bestimmt war.

Entscheidungsgründe

15
Die Klage ist zum Teil begründet.
16
A. Die Klage ist ganz überwiegend zulässig.
17
Dies gilt insbesondere, soweit die Klagepartei die Feststellung begehrt, dass bestimmte Prämienanpassungen unwirksam sind und sie nicht zur Zahlung des jeweiligen Erhöhungsbetrages verpflichtet, sowie der Gesamtbeitrag entsprechend zu reduzieren ist (§ 256 ZPO; BGH, Urteil vom 19.12.2018 - IV ZR 255/17 -, BGHZ 220, 297-323 Rn. 16 f.).
18
Soweit die Klagepartei mit der Klageänderung vom 12.2.2021 ergänzend festgestellt wissen will, dass die im Tarif KHT 2 vorgenommene Beitragssenkungen zum 1.1.2019 in Höhe von -1,77 € unwirksam sei, ist das Feststellungsbegehren jedoch unzulässig:
19
Es steht insoweit weder eine Vorgreiflichkeit für ein Leistungsbegehren im Raum (§ 256 Abs. 2 ZPO), noch ist sonst ein Feststellungsinteresse im Sinne von § 256 Abs. 1 ZPO dargetan oder erkennbar (vgl. LG Berlin, Urteil vom 06. Mai 2021 - 7 O 292/20 -, juris Rn. 76; LG Hamburg, Urteil vom 18. April 2018 - 314 O 90/17 -, juris Rn. 42). Gleichwohl erfolgt auch insoweit eine Klageabweisung als unbegründet. Denn bei dem Feststellungsinteresse i.S.d. § 256 Abs. 1 ZPO handelt es sich nicht um eine echte Sachurteilsvoraussetzung; ist die Klage in der Sache abweisungsreif (dazu hinsichtlich der Anpassung zum 1.1.2019 noch nachfolgend), erfolgt auch bei fehlendem Feststellungsinteresse die Abweisung der Klage als unbegründet, weil die Klageabweisung durch Prozessurteil dann sinnwidrig wäre (BGH, Urteil vom 18. Februar 2016 - III ZR 126/15 -, BGHZ 209, 52-71, juris Rn. 51).
20
Zulässig ist die Feststellungsklage wiederum, soweit sie auf die Feststellung der Verpflichtung zur Herausgabe von Nutzungen und deren Verzinsung gerichtet ist (BGH, Urteil vom 19.12.2018 - IV ZR 255/17 -, BGHZ 220, 297-323 Rn. 18 ff.).
21
Die Klageänderung vom 12.2.2021 ist bereits deshalb zulässig, da die Beklagte sich auf die neuen Klageanträge eingelassen hat (§ 267 ZPO), im Übrigen ist die Klageänderung auch sachdienlich (§ 263 ZPO).
22
B. Die Klage ist jedoch nur zum Teil begründet.
23
I. Die angegriffenen Beitragsanpassungen sind zum Teil unwirksam.
24
1. Die Betragsanpassungen für die Jahre ab 2010 müssen sich an § 203 Abs. 2, 5 VVG messen lassen.
25
Bei der streitgegenständlichen Krankheitskostenversicherung handelt es sich unstreitig um solche, für die das ordentliche Kündigungsrecht des Versicherers gesetzlich bzw. vertraglich ausgeschlossen ist (§ 206 Abs. 1 S. 1, 2, Abs. 2 S. 1 VVG bzw. § 14 Abs. 1, 2 AVB).
26
Nach § 203 Abs. 2, 5 VVG gilt:
„Ist bei einer Krankenversicherung das ordentliche Kündigungsrecht des Versicherers gesetzlich oder vertraglich ausgeschlossen, ist der Versicherer bei einer nicht nur als vorübergehend anzusehenden Veränderung einer für die Prämienkalkulation maßgeblichen Rechnungsgrundlage berechtigt, die Prämie entsprechend den berichtigten Rechnungsgrundlagen auch für bestehende Versicherungsverhältnisse neu festzusetzen, sofern ein unabhängiger Treuhänder die technischen Berechnungsgrundlagen überprüft und der Prämienanpassung zugestimmt hat. Dabei dürfen auch ein betragsmäßig festgelegter Selbstbehalt angepasst und ein vereinbarter Risikozuschlag entsprechend geändert werden, soweit dies vereinbart ist. Maßgebliche Rechnungsgrundlagen im Sinn der Sätze 1 und 2 sind die Versicherungsleistungen und die Sterbewahrscheinlichkeiten. Für die Änderung der Prämien, Prämienzuschläge und Selbstbehalte sowie ihre Überprüfung und Zustimmung durch den Treuhänder gilt § 155 in Verbindung mit einer auf Grund des § 160 des Versicherungsaufsichtsgesetzes erlassenen Rechtsverordnung.
Die Neufestsetzung der Prämie und die Änderungen nach den Absätzen 2 und 3 werden zu Beginn des zweiten Monats wirksam, der auf die Mitteilung der Neufestsetzung oder der Änderungen und der hierfür maßgeblichen Gründe an den Versicherungsnehmer folgt.“
27
2. Die Beitragsanpassungen sind nicht schon deswegen unwirksam, weil die in § 8b Abs. 1, 2 MB/KK 2009 niedergelegte vertragliche Anpassungsgrundlage unwirksam wäre.
28
Zwar ist die Regelung in § 8b Abs. 2 MB/KK unwirksam, wonach von einer Betragsanpassung abgesehen werden kann, wenn nach übereinstimmender Beurteilung durch den Versicherer und den Treuhänder die Veränderung der Versicherungsleistungen als vorübergehend anzusehen ist. Nach 208 VVG kann u.a. von der Regelung des § 203 VVG nicht zum Nachteil des Versicherungsnehmers und der versicherten Person abgewichen werden. Hieraus folgt die Unwirksamkeit der abweichenden Regelung (BGH Urteil vom 22. Juni 2022 - IV ZR 253/20), jedenfalls aber kann sich der Versicherer hierauf nicht berufen (HK-VVG/Rogler, 4. Aufl. 2020, VVG § 208 Rn. 5). Die Unwirksamkeit des § 8b Abs. 2 MB/KK folgt auch aus § 307 Abs. 1, 2 Nr. 1 BGB, da es sich bei den allgemeinen Versicherungsbedingungen um AGB i.S.d. § 305 BGB handelt.
29
Zur Beitragsanpassung ist in den von der Beklagten als Anlage BLD1a vorgelegten Versicherungsbedingungen geregelt:
30
a) Nach § 203 Abs. 2 S. 2 VVG ist der Versicherer bei einer nicht nur als vorübergehend anzusehenden Veränderung einer für die Prämienkalkulation maßgeblichen Rechnungsgrundlage berechtigt, die Prämie entsprechend den berichtigten Rechnungsgrundlagen auch für bestehende Versicherungsverhältnisse neu festzusetzen. Wenn gemäß § 203 Abs. 2 S. 4 VVG i.V.m. § 155 Abs. 3 S. 2 VAG die der Aufsichtsbehörde und dem Treuhänder vorzulegende Gegenüberstellung für einen Tarif eine Abweichung von mehr als 10 Prozent ergibt, sofern - wie im Streitfall gerade nicht - nicht in den allgemeinen Versicherungsbedingungen ein geringerer Prozentsatz vorgesehen ist, hat das Unternehmen alle Prämien dieses Tarifs zu überprüfen und, wenn die Abweichung als nicht nur vorübergehend anzusehen ist, mit Zustimmung des Treuhänders anzupassen.
31
Aus den Regelungen des § 203 Abs. 2 VVG i.V.m. § 155 Abs. 3 VAG ergibt sich zum einen, dass eine Betragsanpassung ausschließlich bei einer nicht nur vorübergehenden Veränderung der maßgeblichen Rechnungsgrundlagen zulässig ist. Zum anderen räumen diese Vorschriften dem Versicherer kein Ermessen ein. Beide - Überprüfung und Anpassung - stehen also nicht im Belieben des Versicherers, er ist bei Vorliegen der jeweiligen Voraussetzungen hierzu vielmehr verpflichtet (LG Berlin, Urteil vom 21.12.2021 - 4 O 381/20; Prölss/Dreher/Präve, 13. Aufl. 2018, VAG § 155 Rn. 16; HK-VAG/Brand, VAG § 155 Rn. 26).
32
b) Demgegenüber ist § 8b Abs. 2 MB/KK 2009 aus der maßgeblichen Sicht eines Versicherungsnehmers ohne versicherungsrechtliche Spezialkenntnisse dahingehend auszulegen, dass dem Versicherer eben doch ein Ermessen eingeräumt wird. Die Formulierung, wonach bei einer nur vorübergehenden Veränderung von einer Anpassung abgesehen werden kann, legt nahe, dass es - im Ermessen des Versicherers stehend - zulässig wäre, bei einer nur vorübergehenden Veränderung gleichwohl eine Anpassung vorzunehmen (OLG Köln, Urteil vom 22.09.2020 - 9 U 237/19; LG Bonn, Urt. v. 02.09.2020 - 9 O 396/17). In diesem Fall lägen aber die Voraussetzungen für eine Anpassung überhaupt nicht vor, da § 203 Abs. 2 S. 1 VVG ja als Voraussetzung jeglicher Anpassung fordert, dass die Veränderung nicht nur als vorübergehend anzusehen ist.
33
Aus diesem Widerspruch zu den gesetzlichen Bestimmungen zum Nachteil des Versicherungsnehmers entgegen § 208 VVG folgt daher (i.V.m. § 307 Abs. 1, 2 Nr. 1 BGB) die Unwirksamkeit des § 8b Abs. 2 MB/KK 2009 (BGH Urteil vom 22. Juni 2022 - IV ZR 253/20; OLG Rostock Hinweisbeschluss v. 8.12.2021 - 4 U 90/21, BeckRS 2021, 46652; LG Berlin, Urteil vom 21.12.2021 - 4 O 381/20; Klimke in Boetius/Rogler/Schäfer, Rechtshandbuch Private Krankenversicherung § 31 Rn. 91; Waldkirch in: Bruck/Möller, VVG, 9. Aufl. 2020, § 8 b MB/KK 2009 Rn. 12 mwN).
34
c) Etwas anderes folgt entgegen der zum Teil in der Rechtsprechung vertretenen Auffassung (LG Stuttgart, Urteil vom 13.03.2021 - 16 O 543/20; LG Berlin, Urteil vom 06.05.2021 - 7 O 292/20) nicht aus dem Urteil des BGH vom 22.09.2004 - IV ZR 97/03, wonach dieser eine nahezu identische Vorgängerregelung nicht beanstandet hat (so im Ergebnis auch LG Berlin, Urteil vom 21.12.2021 - 4 O 381/20). Diese Entscheidung erging zu der Rechtslage vor Einführung des § 178g Abs. 2 VVG a.F., der dem heutigen § 203 Abs. 2 VVG im Wesentlichen entspricht. So gab der BGH ausdrücklich an, dass zwischen der früheren Rechtslage und der ab 29.07.1994 geltenden Rechtslage, wonach die Krankenversicherung erstmals im Versicherungsvertragsgesetz geregelt worden ist, zu differenzieren sei. Demnach würden nach der alten Rechtslage (vor Einführung der §§ 178 ff. VVG) weniger strenge Vorgaben gelten, insbesondere sei dem Versicherer damals auch ein Ermessen eingeräumt worden. Der BGH wendet aber in seiner Entscheidung über eine am 01.07.1994 vorgenommene Beitragsanpassung nur die Rechtslage vor Einführung der §§ 178a ff. VVG an. Eine Aussage, ob die betreffende Tarifbestimmung nach der ab 29.07.1994 geltenden Rechtslage wirksam wäre, trifft der BGH gerade nicht (OLG Köln, Urt. vom 22.09.2020 - 9 U 237/19). Ungeachtet dessen hat der BGH z.B. auch jahrelang die Regelung in § 4 Abs. 4 MBKT nicht beanstandet, bevor er sie mit Urteil vom 06.07.2016 (IV ZR 44/15) für unwirksam erklärt hat.
35
d) Die Unwirksamkeit der Regelung in § 8b Abs. 2 MB/KK 2009 führt allerdings nicht zur Unwirksamkeit des § 8b Abs. 1 MB/KK (BGH Urteil vom 22. Juni 2022 - IV ZR 253/20; ebenso z.B. OLG Hamburg Urt. v. 25.2.2022 - 9 U 96/21, BeckRS 2022, 3459; LG Essen, Urteil vom 28.04.2021 - 18 O 249/20; LG Berlin, Urteil vom 06.05.2021 - 7 O 292/20; LG Berlin, Urteil vom 21.12.2021, 4 O 381/20 a.A. OLG Rostock Hinweisbeschluss v. 8.12.2021 - 4 U 90/21, BeckRS 2021, 46652; OLG Köln, Urteil vom 22.09.2020 - 9 U 237/19; LG Bonn, Urt. v. 02.09.2020 - 9 O 396/17).
36
Die inhaltliche Trennbarkeit einer Klausel und damit die Möglichkeit ihrer Zerlegung in einen inhaltlich zulässigen und einen inhaltlich unzulässigen Teil ist immer dann gegeben, wenn der unwirksame Teil der Klausel gestrichen werden kann, ohne dass der Sinn des anderen Teils darunter leidet (sog. blue-pencil-test); ob beide Bestimmungen den gleichen Regelungsgegenstand betreffen, ist dabei unerheblich (BGH, Urteil vom 31.03.2021 - IV ZR 221/19).
37
Im vorliegenden Fall kann die Regelung des § 8b Abs. 1 MB/KK selbstständig bestehen bleiben. Entsprechend den gesetzlichen Vorgaben räumt die Regelung des § 8b Abs. 1 MB/KK dem Versicherer kein Ermessen ein. Die Regelung in Absatz 1 ist auch nicht deswegen als unwirksam anzusehen, da bei Streichen des Absatzes 2 nicht mehr erkennbar wäre, dass Absatz 1 im Gegensatz zu Absatz 2 nur nicht vorübergehende Änderungen der Rechnungsgrundlage erfasst. Denn § 8b Abs. 1 MB/KK ist dahingehend formuliert, dass bei Überschreiten der Schwellenwerte eine Anpassung (zwingend) überprüft wird und „soweit erforderlich“ angepasst wird. Dies ist jedoch aus der Sicht eines durchschnittlichen Versicherungsnehmers dahingehend zu verstehen, dass eine Anpassung nur bei einer nicht nur vorübergehenden Veränderung der maßgeblichen Rechnungsgrundlagen erforderlich ist (LG Hannover, Urteil vom 29.03.2021 - 19 O 291/20). Das entsprechende Ergebnis ergibt sich, wenn man - wofür mehr spricht - in § 8b Abs. 1 MB/KK 2009 eine Regelungslücke erkennt, soweit nicht ausdrücklich geregelt ist, dass eine Veränderung nicht nur vorübergehend sein darf. Dann wäre insoweit ebenso ein Rückgriff auf die gesetzlichen Regelungen möglich (LG Berlin, Urteil vom 21.12.2021 - 4 O 381/20; Rogler r+s 2020, 646).
38
Diese tragen die streitgegenständlichen Beitragsanpassungen, da die Höhe des jeweils auslösenden Faktors für Versicherungsleistungen durchwegs über 10% lag. Eine Anpassung war damit unabhängig von der Wirksamkeit einer vertraglichen Grundlage jedenfalls auf Grundlage der gesetzlichen Bestimmungen in § 203 Abs. 2 S. 4 VVG i.V.m. § 155 Abs. 3 S. 2 VAG möglich, die eine Anpassung bei Überschreiten des auslösenden Faktors von 10% eröffnet.
39
3. Nach unbestrittenem Vortrag der Beklagten hat den einzelnen Anpassungen der jeweils bestellte Prämientreuhänder zugestimmt. Ob dieser unabhängig i.S.d. § 155 Abs. 1 S. 1 VVG ist bzw. war, ist von den Zivilgerichten im Rechtsstreit über eine Prämienanpassung nicht gesondert zu prüfen (BGH, Urteil vom 19.12.2018 - IV ZR 255/17 -, BGHZ 220, 297-323 Rn. 30 f.; BVerfG, Nichtannahmebeschluss vom 30. Oktober 2020 - 1 BvR 453/19 -, juris).
40
4. Die materielle Berechtigung der Prämienanpassungen stellt die Klage nicht in Frage.
41
In der Klageschrift hat sich die Klagepartei die Überprüfung der materiellen Wirksamkeit der Prämienanpassungen zwar zunächst vorbehalten. Auf den Hinweis der Kammer, dass bei dieser Sachlage keine Veranlassung besteht insoweit in die Beweisaufnahme einzutreten, hat die Klagepartei klargestellt, dass die Beitragsanpassungen nur in formeller Hinsicht streitig gestellt würden. Eine Beweisaufnahme zur versicherungsmathematischen Ordnungsgemäßheit der Beitragsanpassungen ist mit dem klar erklärten entgegenstehenden Willen der Klagepartei nicht geboten (vgl. BGH, Urteil vom 23. Juni 2020 - VI ZR 435/19 -, juris Rn. 19 a.E.).
42
5. Die angegriffenen Anpassungen genügen nur für die Jahre 2012, 2013 und ab 2017 den formalen Voraussetzungen; im Übrigen sind sie unwirksam.
43
a) Bei einer Prämienanpassung nach § 203 Abs. 2 VVG wird erst durch die Mitteilung einer den Anforderungen des § 203 Abs. 5 VVG genügenden Begründung die für die Wirksamkeit der Neufestsetzung der Prämie angeordnete Frist in Lauf gesetzt (BGH, Urteil vom 19.12.2018 - IV ZR 255/17 -, BGHZ 220, 297-323 Rn. 66; BGH, Urteil vom 16.12.2020 - IV ZR 294/19 -, BGHZ 228, 56-75 Rn. 21).
44
Die Mitteilung der maßgeblichen Gründe für die Neufestsetzung der Prämie nach § 203 Abs. 5 VVG erfordert die Angabe der Rechnungsgrundlage, deren nicht nur vorübergehende Veränderung die Neufestsetzung nach § 203 Abs. 2 Satz 1 VVG veranlasst hat. Dagegen muss der Versicherer nicht mitteilen, in welcher Höhe sich diese Rechnungsgrundlage verändert hat. Er hat insbesondere auch weder mitzuteilen, in welche Richtung sich die maßgebliche Rechnungsgrundlage verändert hat (BGH, Urteil vom 17. November 2021 - IV ZR 113/20 -, juris Rn. 26 f.), noch die Veränderung weiterer Faktoren anzugeben, welche die Prämienhöhe beeinflusst haben, wie z.B. des Rechnungszinses (BGH, Urteil vom 16.12.2020 - IV ZR 294/19 -, BGHZ 228, 56-75 Rn. 26). Die „maßgeblichen Gründe“ müssen sich auf die konkret in Rede stehende Prämienanpassung beziehen; eine allgemeine Mitteilung, die nur die gesetzlichen Voraussetzungen der Beitragserhöhung wiedergibt, genügt danach nicht (BGH aaO Rn. 27). Durch die Angabe der Rechnungsgrundlage, die die Prämienanpassung ausgelöst hat erfüllt die Mitteilung den Zweck, dem Versicherungsnehmer zu verdeutlichen, dass weder sein individuelles Verhalten, noch eine freie Entscheidung des Versicherers Grund für die Beitragserhöhung war, sondern dass eine bestimmte Veränderung der Umstände dies aufgrund gesetzlicher Regelungen veranlasst hat; dafür ist es nicht erforderlich, dem Versicherungsnehmer die Rechtsgrundlage des geltenden Schwellenwerts oder die genaue Höhe der Veränderung der Rechnungsgrundlage mitzuteilen (BGH aaO Rn. 35).
45
b) Gemessen daran liegen den Anpassungen von 2011 und von 2014 bis 2016 keine ausreichenden Begründungen i.S.d. § 203 Abs. 5 VVG zugrunde, weil in ihnen die konkret veranlassende Berechnungsgrundlage nicht mitgeteilt ist. Die Anpassungen zu den Jahren 2012 und 2013 sowie ab dem Jahr 2017 sind hingegen formal wirksam.
46
(1) Die Begründung in dem Mitteilungsschreiben der Beklagten für die Beitragsanpassungen zum 01.01.2011 (Anlage BLD 5.1) war nicht ausreichend, weshalb die betreffenden Anpassungen formell unwirksam sind.
47
In den Informationen zu den Beitragsänderungen zum 01.01.2011 befinden sich lediglich allgemein gehaltene Erläuterungen, welche Faktoren sich auf die Erhöhung des Beitrags auswirken können. So wird dargestellt, dass mit dem medizinischen Fortschritt der Umfang des Versicherungsschutzes steigt, was sich auf die Beiträge auswirkt. Auch sei bei der Kalkulation der Beiträge zu berücksichtigen, dass die durchschnittliche Lebenserwartung gestiegen sei. Aus dem Mitteilungsschreiben und den Anlagen ist jedoch nicht ersichtlich, dass die aktuelle Überprüfung gerade für die konkreten Tarife der Klägerin eine Veränderung der maßgeblichen Rechnungsgrundlage (Versicherungsleistungen) ergeben hat und damit die Prämienanpassung ausgelöst hat (vgl. auch OLG Celle Urt. v. 13.1.2022 - 8 U 134/21, BeckRS 2022, 1230 Rn 29 ff. zur identischen Mitteilung).
48
(2) Die Begründung in dem Mitteilungsschreiben der Beklagten mit dem Begründungsformular VK160 07.10.2011 für die Beitragsanpassungen zum 01.01.2012 (Anlage BLD 5.2) ist ausreichend, weshalb die betreffenden Anpassungen formell wirksam sind.
49
In den Informationen zu den Beitragsänderungen zum 01.01.2012 ist angegeben, dass einmal jährlich die kalkulierten Leistungsausgaben mit den erforderlichen Leistungsausgaben verglichen werden müssen. Wenn die Zahlen um mindestens 10% nach oben oder unten abweichen, sei das Versicherungsunternehmen zur Anpassung gesetzlich verpflichtet. Die Überprüfung habe ergeben, dass zum 01.01.2012 eine Anpassung in den gekennzeichneten Tarifen erforderlich sei.
50
Diese Begründung reicht aus, da deutlich wird, dass die Beitragsanpassung zum 01.01.2012 in den gekennzeichneten Tarifen auf einer Veränderung der maßgeblichen Rechnungsgrundlage Versicherungsleistungen beruht (vgl. auch zur inhaltlich identischen Begründung BGH, Urteil vom 17. November 2021 - IV ZR 113/20 Rn. 26 ff.).
51
(3) Auch die Begründung in dem Mitteilungsschreiben der Beklagten mit dem Begründungsformular VK160 15.01.2012 für die Beitragsanpassungen zum 01.01.2013 (Anlage BLD 5.3) war ausreichend, weshalb die betreffenden Anpassungen formell wirksam sind.
52
In den Informationen zu den Beitragsänderungen zum 01.01.2013 ist angegeben, dass einmal jährlich die kalkulierten Leistungsausgaben mit den erforderlichen Leistungsausgaben verglichen werden müssen. Wenn die Zahlen um mindestens 10% nach oben oder unten abweichen, sei das Versicherungsunternehmen zur Anpassung gesetzlich verpflichtet. Die Überprüfung habe ergeben, dass zum 01.01.2013 eine Anpassung in den gekennzeichneten Tarifen erforderlich sei.
53
Diese Begründung reicht aus, da deutlich wird, dass die Beitragsanpassung zum 01.01.2013 in den gekennzeichneten Tarifen auf einer Veränderung der maßgeblichen Rechnungsgrundlage Versicherungsleistungen beruht (vgl. auch zur inhaltlich identischen Begründung BGH, Urteil vom 17. November 2021 - IV ZR 113/20 Rn. 26 ff.).
54
(4) Die Begründung in dem Mitteilungsschreiben der Beklagten für die Beitragsanpassung zum 01.01.2014 (Anlage BLD 5.4) ist wiederum nicht ausreichend, weshalb die betreffende Anpassung formell unwirksam ist.
55
Die maßgeblichen „Informationen zur Beitragsanpassung zum 01.01.2014“ lassen sich durch die Kennzeichnung („Änderungsgründe 1“) im Nachtrag zum Versicherungsschein vom November 2013, leicht auffinden. Zudem wird hierauf im Anschreiben vom November 2013 ausdrücklich hingewiesen, zum Teil in Fettdruck.
56
In dem Abschnitt „Was sind die Gründe für die Beitragsanpassung …“ finden sich jedoch lediglich allgemein gehaltene Erläuterungen, welche Faktoren sich auf die Erhöhung des Beitrags auswirken können. So wird dargestellt, dass mit dem medizinischen Fortschritt der Umfang des Versicherungsschutzes steigt, was sich auf die Beiträge auswirkt. Auch sei bei der Kalkulation der Beiträge zu berücksichtigen, dass die durchschnittliche Lebenserwartung gestiegen sei. Aus dem Mitteilungsschreiben und den Anlagen hierzu ergibt sich jedoch nicht, dass die aktuelle Überprüfung gerade für die konkreten Tarife der Klagepartei eine Veränderung der maßgeblichen Rechnungsgrundlage Versicherungsleistungen ergeben und damit die Prämienanpassung ausgelöst hat.
57
Die der Klagepartei zur Verfügung gestellten Informationen genügen damit nicht den zu stellenden Anforderungen an eine ordnungsgemäße Begründung der Prämienerhöhung zum 01.01.2014 (vgl. auch zur identischen Begründung OLG Köln, Urteil vom 28. Januar 2020 - I-9 U 138/19, bestätigt durch BGH, Urteil vom 14. April 2021 - IV ZR 36/20; OLG Celle Urt. v. 13.1.2022 - 8 U 134/21, BeckRS 2022, 1230).
58
(5) Auch die Begründung in dem Mitteilungsschreiben der Beklagten für die Beitragsanpassung zum 01.01.2015 (Anlage BLD 5.5) war nicht ausreichend, weshalb die betreffende Anpassung formell unwirksam ist.
59
Die maßgeblichen „Informationen zur Beitragsanpassung zum 01.01.2015“ lassen sich durch die Kennzeichnung („Änderungsgründe“) im Nachtrag zum Versicherungsschein vom November 2014, leicht auffinden. Zudem wird hierauf im Anschreiben vom November 2014 ausdrücklich hingewiesen, zum Teil in Fettdruck.
60
In dem Abschnitt „Was sind die Gründe für die Beitragsanpassung …“ finden sich jedoch lediglich allgemein gehaltene Erläuterungen, welche Faktoren sich auf die Erhöhung des Beitrags auswirken können. So wird dargestellt, dass mit dem medizinischen Fortschritt der Umfang des Versicherungsschutzes steigt, was sich auf die Beiträge auswirkt. Auch sei bei der Kalkulation der Beiträge zu berücksichtigen, dass die durchschnittliche Lebenserwartung gestiegen sei. Aus dem Mitteilungsschreiben und den Anlagen hierzu ergibt sich jedoch nicht, dass die aktuelle Überprüfung gerade für die konkreten Tarife der Klagepartei eine Veränderung der maßgeblichen Rechnungsgrundlage Versicherungsleistungen ergeben und damit die Prämienanpassung ausgelöst hat.
61
Die der Klagepartei zur Verfügung gestellten Informationen genügen damit nicht den zu stellenden Anforderungen an eine ordnungsgemäße Begründung der Prämienerhöhung zum 01.01.2015 (vgl. auch zur identischen Begründung OLG Köln, Urteil vom 29. Oktober 2019 - I-9 U 127/18 Rn. 74 ff., bestätigt durch BGH, Urteil vom 16. Dezember 2020 - IV ZR 294/19 Rn. 38 ff.; BGH, Urteil vom 20. Oktober 2021 - IV ZR 148/20 Rn. 25 f.; BGH, Urteil vom 09. Februar 2022 - IV ZR 337/20, Rn. 29 f.).
62
(6) Die Begründung in dem Mitteilungsschreiben der Beklagten für die Beitragsanpassung zum 01.01.2016 (Anlage BLD 5.6) war nicht ausreichend, weshalb die betreffende Anpassung formell unwirksam ist.
63
Die maßgeblichen „Informationen zur Beitragsanpassung zum 01.01.2016“ lassen sich durch die Kennzeichnung („Änderungsgründe 1“) im Nachtrag zum Versicherungsschein vom November 2015, leicht auffinden. Zudem wird hierauf im Anschreiben vom November 2015 ausdrücklich hingewiesen, zum Teil in Fettdruck.
64
In dem Abschnitt „Was sind die Gründe für die Beitragsanpassung …“ finden sich jedoch lediglich allgemein gehaltene Erläuterungen, welche Faktoren sich auf die Erhöhung des Beitrags auswirken können. So wird dargestellt, dass mit dem medizinischen Fortschritt der Umfang des Versicherungsschutzes steigt, was sich auf die Beiträge auswirkt. Auch sei bei der Kalkulation der Beiträge zu berücksichtigen, dass die durchschnittliche Lebenserwartung gestiegen sei. Aus dem Mitteilungsschreiben und den Anlagen hierzu ergibt sich jedoch nicht, dass die aktuelle Überprüfung gerade für die konkreten Tarife der Klagepartei eine Veränderung der maßgeblichen Rechnungsgrundlage Versicherungsleistungen ergeben und damit die Prämienanpassung ausgelöst hat.
65
Die der Klagepartei zur Verfügung gestellten Informationen genügen damit nicht den zu stellenden Anforderungen an eine ordnungsgemäße Begründung der Prämienerhöhung zum 01.01.2016 (vgl. auch zur identischen Begründung OLG Köln, Urteil vom 21. April 2020 - I-9 U 174/18 Rn. 82 ff., bestätigt durch BGH, Urteil vom 17. November 2021 - IV ZR 113/20 Rn. 25 sowie OLG Köln, Urteil vom 29. Oktober 2019 - I-9 U 127/18 Rn. 89 ff. bestätigt durch BGH, Urteil vom 16. Dezember 2020 - IV ZR 294/19 Rn. 38 ff.).
66
(7) Die Begründung in dem Mitteilungsschreiben der Beklagten mit dem Begründungsformular VK 170 21.09.2016 für die Beitragsanpassung zum 01.01.2017 (Anlage BLD 5 Teil 4) ist wiederum ausreichend, weshalb die betreffende Anpassung formell wirksam ist.
67
Die maßgeblichen „Informationen zur Beitragsanpassung zum 01.01.2017“ lassen sich durch die Kennzeichnung („Änderungsgründe 1“) im Nachtrag zum Versicherungsschein vom November 2016, leicht auffinden. Zudem wird hierauf im Anschreiben vom November 2016 ausdrücklich hingewiesen, zum Teil in Fettdruck.
68
In dem Abschnitt „Was sind die Gründe für die Beitragsanpassung in der Kranken-, Krankenhaus- und Krankentagegeld-Versicherung?“ werden zunächst die beiden in Betracht kommenden Berechnungsgrundlagen (Versicherungsleistungen und Sterbewahrscheinlichkeit) benannt. Nach weiteren allgemeinen Ausführungen zum Verfahren der Beitragsanpassung heißt es sodann:
„Die aktuelle Überprüfung der Beiträge in der Kranken-, Krankenhaustagegeld- und Krankentagegeld-Versicherung hat bei den Leistungsausgaben Abweichungen oberhalb der für die Tarife festgelegten Prozentsätze ergeben, sodass die Beiträge zum 01.01.2017 angepasst werden müssen.“
69
Dem kann der Versicherungsnehmer mit deutlicher Klarheit als Ergebnis der Überprüfung für seinen konkreten Tarif entnehmen, dass für diesen eine solche Abweichung eingetreten ist. Die der Klagepartei zur Verfügung gestellten Informationen genügen damit den zu stellenden Anforderungen an eine ordnungsgemäße Begründung der Prämienerhöhung zum 01.01.2017 (zur identischen Begründung BGH, Urteil vom 09. Februar 2022 - IV ZR 337/20 Rn. 31).
70
(8) Die Begründung in dem Mitteilungsschreiben der Beklagten für die Beitragsanpassung zum 01.01.2019 mit dem Begründungsformular VK160 09.10.2018 (Anlage BLD 5.8) ist ebenso ausreichend.
71
Die maßgeblichen „Informationen zur Beitragsanpassung zum 01.01.2019“ lassen sich durch die Kennzeichnung („Änderungsgründe“) im Nachtrag zum Versicherungsschein vom November 2018, leicht auffinden. Zudem wird hierauf im Anschreiben vom November 2018 ausdrücklich hingewiesen, zum Teil in Fettdruck.
72
In dem Abschnitt „Warum erfolgt eine Beitragsanpassung?“ werden zunächst die beiden in Betracht kommenden Berechnungsgrundlagen (Versicherungsleistungen und Sterbewahrscheinlichkeit) benannt. Ferner wird mitgeteilt, dass die Tarife nach genauen gesetzlichen Vorgaben überprüft werden und bei Abweichungen um 10% bzw. vereinbarten 5%, bei den Sterbewahrscheinlichkeiten stets um 5% der Beitrag angepasst wird.
73
In dem Abschnitt „Was sind die maßgeblichen Gründe für die Beitragsanpassung (…)?“, wird erläutert, dass die maßgeblichen Gründe für die Beitragsanpassung zum 01.01.2019 bei allen Tarifen der Kranken-, Krankenhaustagegeld- und Pflegeergänzungs-Versicherung, also auch im Tarif der Klagepartei, die veränderten Leistungsausgaben (Versicherungsleistungen) seien. Dabei ist dieser Absatz durch Fettdruck besonders hervorgehoben.
74
In einem weiteren Abschnitt werden die maßgeblichen Gründe für bestimmte, konkret bezeichnete Tarife - nicht jedoch die Tarife der Klagepartei - genannt.
75
Die Informationen enthalten damit alle notwendigen Angaben für eine Mitteilung gemäß § 203 Abs. 5 VVG. Für den Versicherungsnehmer ist klar und deutlich erkennbar, dass die Beitragsanpassungen in dem betreffenden Tarif auf der Veränderung der Rechnungsgrundlage „Versicherungsleistungen“ beruht. Die der Klagepartei zur Verfügung gestellten Informationen genügen daher den zu stellenden Anforderungen an eine ordnungsgemäße Begründung der Prämienerhöhung zum 01.01.2019 (ebenso zu einer vergleichbaren Begründung OLG Celle Urt. v. 13.1.2022 - 8 U 134/21, BeckRS 2022, 1230 Rn. 33, beck-online).
76
(9) Auch die Begründung in dem Mitteilungsschreiben der Beklagten für die Beitragsanpassung zum 01.01.2020 (Anlage BLD 5.9) ist ausreichend, weshalb die betreffende Anpassung formell wirksam ist.
77
Die maßgeblichen „Informationen zur Beitragsanpassung zum 01.01.2020“ lassen sich durch die Kennzeichnung („Änderungsgründe“) im Nachtrag zum Versicherungsschein vom November 2019, leicht auffinden. Zudem wird hierauf im Anschreiben vom November 2019 ausdrücklich hingewiesen, zum Teil in Fettdruck.
78
In dem Abschnitt „Warum erfolgt eine Beitragsanpassung?“ werden zunächst die beiden in Betracht kommenden Berechnungsgrundlagen (Versicherungsleistungen und Sterbewahrscheinlichkeit) benannt. Ferner wird mitgeteilt, dass die Tarife jährlich überprüft werden und bei Abweichungen um 10% bzw. vereinbarten 5%, bei den Sterbewahrscheinlichkeiten stets um 5% der Beitrag angepasst wird.
79
Sodann heißt es in dem Abschnitt „Was sind die maßgeblichen Gründe für die Beitragsanpassung (…)?“, dass bei allen angepassten Tarifen, also auch im Tarif der Klagepartei Abweichungen bei den Leistungen festgestellt wurden. Dabei ist die Passage „allen angepassten Tarifen- also auch in Ihrem Tarif“ durch Unterstreichung hervorgehoben.
80
Die Informationen enthalten damit alle notwendigen Angaben für eine Mitteilung gemäß § 203 Abs. 5 VVG. Für den Versicherungsnehmer ist klar und deutlich erkennbar, dass die Beitragsanpassungen in dem betreffenden Tarif auf der Veränderung der Rechnungsgrundlage „Versicherungsleistungen“ beruht. Die der Klagepartei zur Verfügung gestellten Informationen genügen daher den zu stellenden Anforderungen an eine ordnungsgemäße Begründung der Prämienerhöhung zum 01.01.2020 (ebenso zur identischen Begründung OLG Celle Urt. v. 13.1.2022 - 8 U 134/21, BeckRS 2022, 1230 Rn. 33, beck-online).
81
6. Ansprüche aus einer unwirksamen Anpassung kann die Klagepartei aber nur insoweit herleiten, als jene nicht durch eine nachfolgende - wirksame - Anpassung im selben Tarif „überholt“ wurde:
82
a) Bei der Prämienanpassung findet nicht nur die Festsetzung eines Erhöhungsbetrages, sondern eine vollständige Neufestsetzung für den neu kalkulierten Zeitraum statt. Ob eine frühere Prämienerhöhung fehlerhaft war, ist für die Wirksamkeit der Neufestsetzung und der daraus folgenden erhöhten Beitragspflicht des Versicherungsnehmers deshalb ohne Bedeutung (BGH, Urteil vom 16.12.2020 - IV ZR 294/19 -, BGHZ 228, 56-75 Rn. 55).
83
b) Für den Streitfall bedeutet dies:
84
Im Tarif TV42/92,03 ist für die unwirksame Anpassung zum 1.1.2011 durch die nachfolgende Anpassung zum 1.1.2012 eine solche „überholende Neufestsetzung“ erfolgt, denn die entsprechende Mitteilung genügt den Anforderungen des § 203 Abs. 5 VVG. Da die Klagepartei hinsichtlich der im Tarif TV42/92,03 einzig unwirksamen Anpassung zum 1.1.2011 die Feststellung der Unwirksamkeit mit der Klageänderung auf den Zeitraum „ab dem 01.01.2017“ beschränkt hat, deckt der Feststellungsantrag für diesen Tarif überhaupt keinen „Zeitraum der Unwirksamkeit“ mehr ab. Hinsichtlich dieses Tarifs war wegen der im Übrigen eingetretenen Verjährung (dazu sogleich) die Klage deshalb insgesamt abzuweisen.
85
Im Tarif KHT2 wurde die unwirksame Anpassung zum 1.1.2014 durch die wirksame Anpassung zum 1.1.2019, im Tarif VITAL250 wurden die unwirksamen Anpassungen zum 1.1.2014 und 1.1.2015 durch die wirksame Anpassung zum 1.1.2019 und im Tarif ESP/100 wurde die unwirksame Anpassung zum 1.1.2016 durch die wirksame Anpassung zum 1.1.2017 „überholt“.
86
7. Soweit die Anpassungen nach dem Vorstehenden (gleichwohl) unwirksam sind, ist jedoch eine nachfolgende Heilung des festgestellten Begründungsmangels erfolgt.
87
a) Wenn eine Mitteilung der Prämienanpassung zunächst ohne eine den Anforderungen des § 203 Abs. 5 VVG genügende Begründung erfolgt, diese aber später nachgeholt wird, wird dadurch die für die Wirksamkeit der Neufestsetzung der Prämie angeordnete Frist in Lauf gesetzt (BGH, Urteil vom 19.12.2018 - IV ZR 255/17 -, BGHZ 220, 297-323 Rn. 66 ff.); es kommt zu einer Heilung ex nunc (BGH, Urteil vom 16.12.2020 - IV ZR 294/19 -, BGHZ 228, 56-75 Rn. 41).
88
b) Eine solche Heilung ist hinsichtlich des streitgegenständlichen Tarifs ZPRO (unwirksame Anpassung zum 1.1.2016 ohne nachfolgende wirksame Neufestsetzung) jedenfalls mit der Klageerwiderung erfolgt. Dort wird auf S. 2 als bereits ausreichend mitgeteilt, welche Rechnungsgrundlage die streitgegenständlichen Neufestsetzungen veranlasst hat.
89
Da nach § 203 Abs. 5 VVG die Neufestsetzung der Prämie zu Beginn des zweiten Monats wirksam wird, der auf die Mitteilung der Neufestsetzung und der hierfür maßgeblichen Gründe an den Versicherungsnehmer folgt, besteht - ausgehend von einer Zustellung der Klageerwiderung am 15.1.2021 - ein berechtigter Zahlungsanspruch der Beklagten jedenfalls ab dem 1.3.2021 (vgl. BGH, Urteil vom 17. November 2021 - IV ZR 113/20 -, juris Rn. 29).
90
8. Damit ist der Feststellungsantrag letztlich hinsichtlich folgender Anpassungen - z.T. zudem zeitlich eingeschränkt durch die nachfolgende Neufestsetzung bzw. Heilung - begründet:
- im Tarif EHP/ 100 zum 01.01.2013 in Höhe von 1,40 €,
- im Tarif KHT 2/ 51,13 zum 01.01.2014 in Höhe von 2,22 € bis einschließlich 31.12.2018,
- im Tarif VITAL 250 zum 01.01.2014 in Höhe von 69,50 € bis einschließlich 31.12.2018,
- im Tarif VITAL 250 zum 01.01.2015 in Höhe von 50,00 €, bis einschließlich 31.12.2018 - im Tarif ZPRO zum 01.01.2016 in Höhe von 16,50 € bis einschließlich 28.2.2021,
- im Tarif ESP/ 100 zum 01.01.2016 in Höhe von 1,02 € bis einschließlich 31.12.2016
91
Hieraus folgt ein entsprechend (gestaffelt) reduzierter Gesamtbeitrag (zur Berechnung sogleich unter II.3.).
92
Im Übrigen war der Feststellungsantrag abzuweisen.
93
II. Aus dem Vorstehenden ergibt sich für die Klagepartei nach § 812 Abs. 1 Satz 1 Alt. 1 BGB im Ausgangspunkt (zunächst) ein berechtigter und einredefreier Rückzahlungsanspruch in Höhe von 3.663,78 €. Unwirksame Anpassungen bilden keinen Rechtsgrund für gleichwohl geleistete Prämienzahlungen.
94
1. Etwaige bis zum 31.12.2016 aus unwirksamen Beitragserhöhungen resultierende Rückforderungsansprüche sind jedoch verjährt. Die Beklagte kann insoweit berechtigt die Rückzahlung verweigern (§ 214 Abs. 1 BGB); dies gilt nach § 217 BGB auch für die Herausgabe der entsprechenden Nutzungen (BGH, Urteil vom 17. November 2021 - IV ZR 113/20 -, juris Rn. 39).
95
a) Die regelmäßige dreijährige Verjährungsfrist (§ 195 BGB) begann jeweils mit dem Schluss des Jahres, in dem die Prämienanteile gezahlt wurden. Die Klagepartei hatte mit dem Zugang der streitgegenständlichen Änderungsmitteilungen zu diesen Zeitpunkten bereits im Sinne von § 199 Abs. 1 Nr. 2 BGB Kenntnis von den anspruchsbegründenden Umständen und der Person des Schuldners (ausführlich BGH, Urteil vom 17. November 2021 - IV ZR 113/20 -, juris Rn. 40 ff.). Insbesondere war die Erhebung einer Klage, mit der die formelle Unwirksamkeit von Beitragserhöhungen aufgrund einer ungenügenden Begründung geltend gemacht wird, jedenfalls dann nicht wegen einer unsicheren und zweifelhaften Rechtslage bis zur Klärung durch den BGH unzumutbar, wenn - wie im Streitfall - der Versicherungsnehmer gleichwohl bereits vor einer höchstrichterlichen Entscheidung seinen Anspruch gegenüber dem Schuldner geltend macht und dadurch selbst zu erkennen gibt, vom Bestehen des Anspruchs auszugehen (BGH aaO).
96
b) Für den konkreten Fall bedeutet dies, dass ausgehend von einer Verjährungsunterbrechung mit Klagezustellung am 18.11.2020, ein Rückforderungsanspruch wegen gezahlter Prämienerhöhungen infolge unwirksamer Anpassungen erst ab dem Jahr 2017 besteht.
97
Dabei unterliegen aber Zahlungen, die in unverjährter Zeit erfolgt sind, auch dann der Rückforderung, wenn sie auf einer zum Jahr 2016 oder früher erfolgten unwirksamen und im Weiteren nicht „geheilten“ Anpassung beruhen - denn es verjährt nicht „die Anpassung“, sondern etwaige Rückzahlungsansprüche wegen infolge unwirksamer Anpassungen erbrachter Beitragszahlungen.
98
2. Der Rückgewähranspruch der Klagepartei aus § 812 Abs. 1 Satz 1 Alt. 1 BGB umfasst die Erhöhungsbeträge, die sie ohne wirksame Prämienanpassungserklärung gezahlt hat, der Höhe nach uneingeschränkt (BGH, Urteil vom 16.12.2020 - IV ZR 294/19 -, BGHZ 228, 56-75 Rn. 45 ff.). So kommt im Rahmen der bereicherungsrechtlichen Rückabwicklung insbesondere keine Anrechnung des genossenen Versicherungsschutzes in Betracht (BGH aaO). Auch auf einen Wegfall der Bereicherung kann sich die Beklagte nicht berufen (BGH aaO Rn. 51 f.).
99
3. Dies bedeutet für die Jahre 2017 bis September 2020 hinsichtlich der Zahlungen auf Beitragsanpassungen in den Tarifen KHT2, VITAL250 und ZPRP einen grundsätzlichen Rückforderungsanspruch in Höhe von insgesamt 3.663,78 €:
KHT2: 24 Monate (2017, 2018) * 2,22 € = 53,28 €
VITAL250: 24 Monate (2017, 2018) * 119,50 € (69,50 € + 50,00 €) = 2.868,00 €
ZPRO: 45 Monate (2017, 2018, 2019, 2020 einschl. Sept.) * 16,50 € = 742,50 €
100
Der nach Klagevortrag (Klageschrift S. 49) aktuelle - nach dem Vorstehenden: in voller Höhe berechtigte - Gesamtbeitrag in Höhe von 771,80 € ist deshalb für den unverjährten Zeitraum um die unwirksamen Erhöhungen zu reduzieren
- auf 633,58 € für die Jahre 2017 und 2018,
- auf 755,30 € für das Jahr 2019 und 2020 bis einschließlich 28.2.2021.
101
4. Der Anspruch in Höhe von 3.663,78 € ist jedoch infolge der mit Schriftsatz der Beklagten vom 23.03.2022 erklärten Aufrechnung mit einem Gegenanspruch wegen zu viel geleisteter Beitragsrückerstattungen in Höhe von 1.239,09 € rückwirkend gemäß § 389 BGB erloschen.
102
a) Die Beklagte hat mit der Klageerwiderung eingewendet, dass ein etwaiger Rückforderungsanspruch der Klagepartei infolge erbrachter Beitragsrückerstattungen jedenfalls überhöht sei. Dieser Einwand ist grundsätzlich beachtlich (vgl. BGH, Urteil vom 21. Juli 2021 - IV ZR 191/20 -, juris Rn. 33).
103
Die Kammer teilt jedoch zumindest für die streitgegenständliche Konstellation nicht die aaO durch Hinweis auf § 366 Abs. 2 BGB (nicht i.V.m. § 396 Abs. 1 S. 2 BGB) zum Ausdruck kommende Wertung, dass die Zahlung der Beitragsrückerstattungen durch die Beklagte als Leistung auf den streitgegenständlichen Prämienrückzahlungsanspruch der Klagepartei mit entsprechender Erfüllungswirkung (§ 362 Abs. 1 BGB) zu behandeln sei. Zum Zeitpunkt der Beitragsrückerstattungen waren die streitgegenständlichen Rückzahlungsansprüche der Klagepartei zwar (zumindest zum Teil) bereits entstanden, gegenüber der Beklagten aber (ebenfalls zumindest teilweise) noch nicht geltend gemacht. Entsprechend konnten Zahlungen der Beklagten an die Klagepartei in Form von Beitragsrückerstattungen seitens der Beklagten zum Leistungszeitpunkt noch überhaupt nicht in der Absicht der Tilgung eines etwaigen Rückzahlungsanspruchs der Klagepartei erbracht worden sein.
104
Es ist auch nicht ersichtlich, dass die Beklagte im Rechtsstreit eine nachträgliche Tilgungsbestimmung dahingehend vorgenommen hätte, dass die Beitragsrückerstattungen der Erfüllung von Rückforderungsansprüchen der Klagepartei dienen sollten. Dem bloßen Hinweis in der Klageerwiderung, dass die Klagepartei im Hinblick auf die Beitragsrückerstattungen die „eingeklagten Beitragszahlungen … insoweit überhaupt nicht erbracht“ hat, vermag die Kammer eine solche Tilgungsbestimmung jedenfalls nicht zu entnehmen.
105
Zudem ist zu beachten, dass die Beitragsrückerstattungen bereits im Zeitpunkt ihrer Leistung mit einer Tilgungsbestimmung versehen waren: Die Beklagte hat durch Vorlage der entsprechenden Informations- bzw. Begleitschreiben zu Beitragsrückerstattungen für das jeweils laufende Versicherungsjahr (Anlagenkonvolut BLD 18) belegt, dass die einzelnen Auszahlungen an die Klagepartei ohne vernünftigen Zweifel zum Zwecke der Erfüllung eines - bei Vorliegen der zuvor informatorisch mitgeteilten Leistungsvoraussetzungen bestehenden - Anspruchs auf eine Rückerstattung erbracht wurden (vgl. BAG, Urteil vom 10. Juli 2013 - 10 AZR 777/12 -, juris Rn. 22).
106
Ohne Rechtsgrund sind Beitragsrückerstattungen aber lediglich insoweit erfolgt, als sie infolge einer unwirksamen Prämienerhöhung höher ausfallen, als auf Basis der nicht erhöhten Prämie. Aus den von der Beklagten als Anlage BLD 18 vorgelegten Unterlagen ergibt sich, dass die Höhe der Rückerstattung maßgeblich jedenfalls auch von der Höhe des Monatsbeitrags im jeweiligen Tarif abhängt. Ein aufrechenbarer Anspruch kann demnach nur in Höhe des anteiligen bzw. überschießenden (unwirksamen) Erhöhungsanteils der Prämie bestehen; eine Gegenrechnung mit der Beitragsrückerstattung in voller, tatsächlich erbrachter Höhe, wäre nicht berechtigt.
107
Dass das Entstehen eines Anspruchs auf Beitragsrückerstattung - entsprechend dem Einwand der Klagepartei - maßgeblich auf dem Verhalten des Versicherungsnehmers beruht, ist zutreffend, ändert jedoch nichts an der Abhängigkeit der Beitragsrückerstattung von der Höhe des einschlägigen Monatsbeitrags. Soweit dieser also unwirksam festgesetzt ist, ergibt sich auch kein Anspruch auf Beitragsrückerstattung. Diese ist in entsprechender Höhe dann ohne Rechtsgrund erfolgt, weshalb die Beklagte gegen die Klagepartei einen Rückzahlungsanspruch gem. § 812 Abs. 1 S. 1 Alt. 1 BGB in anteiliger Höhe hat.
108
b) Nach entsprechendem Hinweis der Kammer hat die Beklagte klarstellend vorsorglich die Aufrechnung mit einem Betrag von 1.239,09 € mit der ältesten Klageforderung erklärt bzw. hilfsweise Erfüllung eingewandt, sofern das Gericht von einem Rückforderungsanspruch der Klagepartei aufgrund unwirksamer Anpassungen ausgeht. Dies ist - wie oben ausgeführt - der Fall, sodass hinsichtlich der nicht verjährten Rückforderungsansprüche der Klagepartei die zulässige innerprozessuale Bedingung (vgl. § 388 S. 2 BGB; BGH Beschluss vom 5.11.2013 - VIII ZR 24/13, BeckRS 2013, 20849 Rn. 11) der Aufrechnung eingetreten ist.
109
Die Beklagte rechnet also i.S.d. § 387 BGB mit einem Bereicherungsanspruch gemäß § 812 Abs. 1 Alt. 1, 818 Abs. 1 BGB wegen rechtsgrundloser erbrachter Beitragsrückerstattungen auf, sodass die Klageforderung in Höhe der Gegenforderung erloschen ist (§ 389 BGB).
110
Der von der Beklagten tabellarisch vorgetragenen Bezifferung der auf den Mehrbetrag der streitgegenständlichen Beitragsanpassungen entfallenden Beitragsrückerstattungen ist die Klagepartei nicht entgegengetreten (§ 138 Abs. 3 ZPO):
111
Eine etwaige Verjährung des Rückforderungsanspruchs der Beklagten steht der Aufrechnung grundsätzlich nicht entgegen (§ 215 BGB). Im konkreten Fall spielt dies indes ohnehin keine Rolle, da sich die Klagepartei nicht auf Verjährung hinsichtlich der Gegenforderung der Beklagten berufen hat, wie es für den Anwendungsbereich des § 215 BGB Voraussetzung wäre (Staudinger/Peters/Jacoby (2019) BGB § 215 Rn. 5; a.A. BGH, Urteil vom 14. Juli 2005 - IX ZR 142/02 -, juris Rn. 10 zu § 390 S. 1 BGB, der allerdings durch § 215 BGB gerade eine Ausnahme erfährt: BeckOK BGB/Henrich, 62. Ed. 1.5.2022, BGB § 215 Rn. 1).
112
Unabhängig davon standen sich die Forderungen aber auch in unverjährter Zeit aufrechenbar gegenüber, sodass die (ältesten) Rückforderungen aus den Tarifen KHT2, VITAL250 und ZPRO bis einschließlich August 2017 sowie anteilig für September 2017 in Höhe von 1.239,09 € erloschen sind.
113
Damit verbleibt ein zuzusprechender Anspruch der Klagepartei in Höhe von 2.424,69 €.
114
5. Der berechtigte Rückforderungsanspruch ist wie beantragt nach § 291, § 288 Abs. 2 BGB ab Rechtshängigkeit, also am Tag nach Klagezustellung (vgl. BGH, Urteil vom 21. Juli 2021 - IV ZR 191/20 -, juris Rn. 34) zu verzinsen.
115
III. Der Feststellungsantrag nach Ziff. 3 betreffend die Herausgabe und Verzinsung gezogener Nutzungen ist ebenfalls nur teilweise begründet.
116
1. Der Klagepartei steht grundsätzlich ein Anspruch auf Herausgabe der durch die Beklagte gezogenen Nutzungen zu (Feststellungsantrag Ziff. 3a; BGH, Urteil vom 16. Dezember 2020 - IV ZR 294/19 -, BGHZ 228, 56-75 Rn. 57 f.).
117
Allerdings ist der Anspruch auf Herausgabe der gezogenen Nutzungen auf die Zeit vor Eintritt der Verzinsungspflicht für die Hauptforderung beschränkt. Prozess- und Verzugszinsen sollen den Nachteil ausgleichen, den der Gläubiger dadurch erleidet, dass er infolge nicht rechtzeitiger Zahlung des Schuldners daran gehindert ist, einen ihm zustehenden Geldbetrag zu nutzen. Dieser Nachteil wird durch einen Anspruch auf Herausgabe gezogener Nutzungen vollkommen ausgeglichen. Daher besteht neben dem Anspruch auf Herausgabe von Nutzungen kein Anspruch auf Prozess- oder Verzugszinsen (BGH, Urteil vom 16.12.2020 - IV ZR 294/19 Rn. 58).
118
Daher ist lediglich festzustellen, dass die Beklagte zur Herausgabe der Nutzungen verpflichtet ist, die sie in unverjährter Zeit (§ 217 BGB) bis längstens zur Rechtshängigkeit aus dem Prämienanteil gezogen hat, den die Klagepartei auf die unwirksamen Beitragserhöhungen (bis zu deren wirksamer Neufestsetzung bzw. Heilung des Begründungsmangels) gezahlt hat.
119
2. Die Beklagte hat die jeweils herauszugebenden Nutzungen zu verzinsen, wie die Klagepartei mit dem Feststellungsantrag Ziff. 3b begehrt.
120
Zwar greift § 291 BGB als Anspruchsgrundlage für Prozesszinsen bei einer Klage, die - wie hier in Ziff. 3a - auf die Feststellung einer Verbindlichkeit gerichtet ist, nicht ein (vgl. BGH, Urteil vom 16.12.2020 - IV ZR 294/19 -, BGHZ 228, 56-75 Rn. 59). Die Klagepartei hat aber unwidersprochen vorgetragen (Klageschrift S. 10), dass die Beklagte vorgerichtlich jegliche gegen sie gerichtete Ansprüche ernsthaft und endgültig verweigert hat. Ein Zinsanspruch folgt deshalb aus Verzug (§ 286 Abs. 2 Nr. 3 BGB; vgl. BGH, Urteil vom 17. November 2021 - IV ZR 113/20 -, juris Rn.38). Zum Zinsbeginn gilt § 308 Abs. 1 S. 2 ZPO.
121
IV. Soweit die Klageanträge nach dem Vorstehenden begründet sind, muss sich die Klagepartei keinen Verstoß gegen Treu und Glauben oder eine Verwirkung ihrer Ansprüche entgegenhalten lassen (BGH, Urteil vom 19.12.2018 - IV ZR 255/17 -, BGHZ 220, 297-323 Rn. 22 ff.; BGH, Urteil vom 16.12.2020 - IV ZR 294/19 -, BGHZ 228, 56-75 Rn. 43 ff.).
C. Nebenentscheidungen
122
I. Die Kostenentscheidung folgt aus § 92 Abs. 1 ZPO, § 269 Abs. 3 S. 2 ZPO.
123
Mit Schriftsatz vom 12.2.2021 hat die Klagepartei die Klageanträge (u.a.) im Zahlungsantrag Ziffer 2) teilweise zurückgenommen. Hinsichtlich der Rücknahme in Höhe von 1.504,77 € hat die Klagepartei nach § 269 Abs. 3 S. 2 ZPO die Kosten zu tragen.
124
Dabei war hinsichtlich des Streitwerts neben dem Klageantrag Ziff. 2, der auf Rückzahlung der 01.01.2011 bis 04.09.2020 geleisteten Prämienanteile in Höhe von (zuletzt) 11.972,97 € gerichtet ist, der Klageantrag zu 1 auf Feststellung der Unwirksamkeit der vom 1.1.2011 bis 1.1.2020 erfolgten Prämienerhöhungen und der Nichtverpflichtung zur Tragung der Erhöhungsbeträge für die Vergangenheit nicht Streitwert erhöhend anzusetzen, da er insoweit wirtschaftlich identisch ist, sich also auf denselben Zeitraum bezieht wie der Zahlungsantrag (vgl. BGH, Beschluss vom 20. Januar 2021 - IV ZR 294/19 -, juris). Für die Zukunft, d.h. ab Anhängigkeit der Klage, ist er als wirtschaftlich eigenständig hingegen in vollem Umfang zu berücksichtigen. Dies bedeutet, dass die (höchste: § 40 GKG) Summe der als unwirksam angesehenen Beitragserhöhungen von insgesamt 214,46 € für 42 Monate (Zeitraum von 3,5 Jahren § 9 ZPO analog: BGH, Beschluss vom 20. Januar 2021 - IV ZR 294/19 -, juris), also mit insgesamt 9.007,32 € in Ansatz zu bringen ist. Da die Feststellung ein negatives Begehr trägt, ist ein Feststellungsabschlag nicht vorzunehmen: Der Wert der negativen Feststellungsklage entspricht dem Wert der Leistungsklage umgekehrten Rubrums (BGH Beschluss vom 12.3.2015 - I ZR 99/14, BeckRS 2015, 6520).
125
Die beanspruchten Nutzungen bleiben als unselbständige Nebenforderungen nach § 4 ZPO ebenso streitwertneutral wie die geforderten Zinsen und vorgerichtlichen Rechtsanwaltskosten (vgl. OLG Köln, Urteil vom 21. April 2020 - 9 U 174/18 -, juris Rn. 135; gebilligt durch BGH, Urteil vom 17. November 2021 - IV ZR 113/20 -, juris, wo offensichtlich nicht davon ausgegangen wird, dass nach den Grundsätzen der Entscheidung BGH, Beschluss vom 15. Februar 2000 - XI ZR 273/99 -, juris die Nutzungen als Teil eines einheitlichen bereicherungsrechtlichen Gesamtanspruchs selbst Hauptforderung sind). Die abweichende Auffassung (z.B. OLG Saarbrücken Urt. v. 1.12.2021 - 5 U 93/20, BeckRS 2021, 40887) verkennt mit ihrem Hinweis auf BGH, Beschl. v. 19. 12. 2018 - IV ZB 10/18, r+s 2019, 137, dass diese Rspr. ausdrücklich auf „Fälle der vorliegenden Art“, also die Rückabwicklung von Lebensversicherungsverträgen beschränkt ist. Das dort zur ausnahmsweise streitwerterhöhenden Berücksichtigung von Nutzungen herangezogene Argument, wonach es bei der vollständigen Rückabwicklung eines Lebensversicherungsvertrages tatsächlich und rechtlich schwierig ist, ob und in welchem Umfang der eingeklagte Nutzungsherausgabeanspruch in einem Abhängigkeitsverhältnis zu dem Anspruch auf Rückzahlung der Versicherungsbeiträge steht, von diesem also sachlich rechtlich abhängt, greift in den streitgegenständlichen Fällen hingegen nicht: Hier geht es nicht um die Rückabwicklung eines kompletten Vertrages, sondern die Rückzahlung von zeitlich und der Höhe nach klar definierbaren Prämienanteilen. Auch nur hinsichtlich dieser Prämienanteile werden Nutzungen beansprucht. Das Abhängigkeitsverhältnis der beanspruchten Nutzungen zu den zurückgeforderten Prämienanteilen liegt deshalb offen zutage.
126
Die zur Entscheidung gekommene Hilfsaufrechnung der Beklagten mit Beitragsrückerstattungen wirkt nicht streitwerterhöhend, da die Gegenforderung nicht i.S.d. § 45 Abs. 3 GKG „bestritten“ wurde, sondern vielmehr in Grund und Höhe unstreitig geblieben ist (vgl. NK-GK/Ralf Kurpat, 3. Aufl. 2021, GKG § 45 Rn. 26; BeckOK KostR/Schindler, 37. Ed. 1.4.2022, GKG § 45 Rn. 21).
127
Ausgehend vom Vorstehenden obsiegt die Klagepartei neben dem Leistungsantrag in Höhe von 2.424,69 €, zudem mit dem Feststellungsantrag im Wert von 5.848,08 € (3,5facher Jahresbetrag von 139,24 € (2,22 € + 69,50 € + 50 € + 16,50 € + 1,02 €), insgesamt also mit 8.272,77 €, mithin zu 36%.
128
II. Die Entscheidung zur vorläufigen Vollstreckbarkeit beruht auf § 709 S. 2 ZPO.