Inhalt

LG München I, Endurteil v. 08.12.2021 – 14 S 8944/21
Titel:

Anspruch auf Zustimmung zur Untervermietung

Normenkette:
BGB § 553
Leitsätze:
1. § 553 Abs. 1 BGB stellt aus mieterschützenden Gründen keine hohen Hürden für einen Anspruch auf Gestattung der Untervermietung auf. Es genügt, dass der Mieter ein nach Vertragsschluss entstandenes berechtigtes Interesse an der Untervermietung vorweisen kann und den Wohnraum nicht vollständig dem Dritten überlässt. (Rn. 99) (redaktioneller Leitsatz)
2. Verweigert der Vermieter unberechtigterweise die Zustimmung zur Untervermietung und unterlässt der Mieter diese daraufhin, hat der Vermieter für den entstandenen Mietausfallschaden in voller Höhe einzustehen. (Rn. 118) (redaktioneller Leitsatz)
Schlagworte:
Untervermietung, berechtigtes Interesse, Verweigerung, Schadensersatz
Vorinstanz:
AG München, Endurteil vom 17.06.2021 – 425 C 3385/21
Fundstellen:
ZMR 2022, 212
LSK 2021, 47911

Tenor

1. Auf die Berufung des Beklagten wird das Urteil des Amtsgerichts München vom 17.06.2021, Az. 425 C 3385/21, abgeändert.
Die Klage wird abgewiesen.
2. Die Klägerin hat die Kosten des Rechtsstreits in beiden Instanzen zu tragen.
3. Das Urteil ist für den Beklagten hinsichtlich Ziffer 2 gegen Sicherheitsleistung in Höhe von 110 % des jeweils vollstreckbaren Betrags vorläufig vollstreckbar.
4. Die Revision gegen dieses Urteil wird nicht zugelassen.
Beschluss
Der Streitwert wird für das Berufungsverfahren auf … festgesetzt.

Entscheidungsgründe

I.
1. Sachverhalt
1
Hinsichtlich des Sachverhalts wird gem. § 540 Abs. 1 S. 1 Nr. 1 ZPO auf den Tatbestand des angefochtenen amtsgerichtlichen Endurteils vom 17.06.2021 Bezug genommen.
2
Die Klägerin begehrt vom Beklagten die Räumung und Herausgabe der verfahrensgegenständlichen Wohnung sowie die Zahlung von Mietrückständen.
3
Die Parteien und der Zeuge … auf Mieterseite schlossen am 30.09.2013 einen Mietvertrag (Anlage K 1) über eine etwa 78 m² große 2,5-Zimmer-Wohnung in der … in …. Es wurde zunächst eine Miete von 970,00 € und 325,00 € Heiz- und Betriebskostenvorauszahlungen vereinbart.
4
Im streitgegenständlichen Zeitraum betrugen die Vorauszahlungen 395,00 €, so dass die Bruttomiete insgesamt 1.365,00 € betrug.
5
Der Mietvertrag enthält eine Staffelmietvereinbarung, wonach die Grundmiete vom 01.10.2013 bis 30.09.2014 970,00 € beträgt und im Folgejahr vom 01.10.2014 bis 30.09.2015 990,40 € und sich die Grundmiete in den Folgejahren jeweils beginnend ab 1. Oktober eines Jahres erhöht (Anlage K 1).
6
Zum 01.09.2017 zog der Zeuge … aus der verfahrensgegenständlichen Wohnung aus.
7
Der Beklagte übersandte an die Klägerin eine Entlassungserklärung vom 29.09.2017 (Anlage B 2), wonach das Mietverhältnis ab dem 01.10.2017 allein mit dem Beklagten fortgesetzt werde. Diese wurde vom Zeugen … und dem Beklagten unterschrieben, von der Klägerin aber nicht gegengezeichnet.
8
Am 15.11.2017 (Anlage B 3) schrieb der Zeuge … an die damals zuständige Hausverwaltung …, dass ihm Herr … von der seinerzeit zuständigen Hausverwaltung mitgeteilt habe, dass er von einer offiziellen Kündigung seines Mietverhältnisses gegenüber der Eigentümergesellschaft „zwinglich absehen“ solle und es völlig ausreichend für die neue Hausverwaltung sei, wenn sich der Beklagte und er untereinander auf eine Entlassungsvereinbarung zum Auszug einigen würden.
9
Hinsichtlich der näheren Einzelheiten wird auf den Inhalt der Anlage B 3 verwiesen.
10
Mit Schreiben vom 15.05.2018 (Anlage K 2) an die Hausverwaltung … schrieb der Beklagte:
„(…) ich beabsichtige einen Raum in der von mir gemieteten 3-Zimmer-Wohnung in der …
das Kinderzimmer bzw. 2. Schlafzimmer (12 m²),
zum schnellstmöglichen Termin
an …, geboren am … als … Laboringenieur in … tätig und ist aktuell wohnhaft in der … in …
unterzuvermieten.
Berechtigte Interessen im Sinne des § 553 BGB liegen vor, da ich die Wohnung seit mehreren Monaten alleine als Hauptmieter bewohne. Leider ist dies finanziell ein zu hohes Aufkommen für mich alleine. Zudem ist eine 3-Zimmer-Wohnung für eine Person zu groß.
(…) Um eine Genehmigung würde ich mich sehr freuen, wenn Sie mir diese innerhalb der kommenden 2 Wochen schriftlich erteilen würden.
(…)“
11
Im Protokoll der Eigentümerversammlung der Klagepartei vom 04.07.2018 (Anlage K 4) findet sich auf S. 11 folgender Vermerk:
„(…) Es wird darauf hingewiesen, dass es sich um eine Hausmeisterwohnung handelt; gerade im Hinblick auf die Hausmeistertätigkeit wird in Erwägung gezogen, diese Wohnung ggf. für ein fest angestelltes Hausmeisterehepaar wieder zu nutzen.
(…)“
12
Die Genehmigung zur Untervermietung an Herrn … wurde in der ordentlichen Eigentümerversammlung sodann mehrheitlich abgelehnt (Anlage K 4).
13
Mit E-Mail der Hausverwaltung … vom 09.07.2018 an den Beklagten (Anlage K 3) wurde die Genehmigung zur Untervermietung mit der Begründung abgelehnt, dass die Eigentümergemeinschaft die Genehmigung zur Untervermietung abgelehnt habe.
14
Mit Schreiben des Mietervereins München vom 17.07.2018 (Anlage K 5) forderte der Beklagte die Klagepartei auf, ihm bis spätestens 31.07.2018 die Zustimmung zur Untervermietung gemäß der Anfrage vom 15.05.2018 zukommen zu lassen. Der Mieterverein wies zugleich darauf hin, dass der potentielle Untermieter, Herr …, seit 01.06.2018 bereit gewesen wäre, eine Untermiete von monatlich 750,00 € zu leisten und ihm aufgrund der Verweigerung der Erlaubniserteilung zur Untervermietung dem Beklagten daher seit 01.06.2018 eine monatliche Miete von 750,00 € entgangen sei. Die Geltendmachung von Schadensersatzansprüchen aufgrund entgangener Untermiete von monatlich 750,00 € behielt sich der Beklagte vor.
15
Mit Schreiben des Mietervereins vom 14.08.2018 (Anlage B 1) ließ der Beklagte die Hausverwaltung auffordern, wegen der unberechtigten Verweigerung der Erlaubnis zur Untervermietung zwei entgangene Monatsmieten in Höhe von insgesamt 1.500,00 € an den Beklagten zu zahlen sowie zu einem Entwurf einer Entlassungsvereinbarung des Zeugen … aus dem Mietvertrag vom 29.09.2017 (Anlage B 2) Stellung zu nehmen.
16
Mit anwaltlichem Schreiben vom 07.09.2018 (Anlage K 6) teilte die Klagepartei dem Mieterverein … u.a. mit, dass der Beklagte seiner „aus § 553 BGB resultierenden Darlegungspflicht“ nicht nachgekommen sei; nähere Einzelheiten zu seinem vermeintlichen wirtschaftlichen Interesse, insbesondere zu seinen wirtschaftlichen Verhältnissen, habe der Beklagte der Klägerin nicht mitgeteilt. Die von ihm verlangte Erlaubnis zur Teiluntervermietung sei daher auch nicht zu erteilen. Zudem wurde der Beklagte aufgefordert, den ausstehenden Differenzbetrag in Höhe von 750,00 € bis zum 14.08.2018 nachzuzahlen (Anmerkung der Kammer: Gemeint war wohl der 14.09.2018). Die Klägerin kündigte an, den Sachverhalt einer erneuten Prüfung zu unterziehen, wenn der Beklagte der ihm gemäß § 553 BGB obliegenden Darlegungspflicht in erforderlichem Umfang nachkomme.
17
Mit anwaltlichen Schreiben vom 16.10.2018 (Anlage K 7) an die Prozessbevollmächtigten der Klagepartei ließ der Beklagte u.a. mitteilen, dass die Klagepartei, namentlich Herr … von der seinerzeit zuständigen Hausverwaltung, dem Beklagten mitgeteilt habe, dass Einverständnis damit bestehe, dass Herr … aus dem Mietverhältnis entlassen werde. Es wurde ferner mitgeteilt, dass eine entsprechende Vereinbarung an die Klagepartei gesandt worden, diese jedoch nicht unterschrieben zurückgesandt worden sei. Im Übrigen sei der Beklagte seiner Darlegungspflicht zum berechtigten Interesse an einer Untervermietung gerecht geworden. Zudem ließ der Beklagte in diesem Schreiben einen Anspruch auf Zahlung von Schadensersatz in Höhe von insgesamt 3.000,00 € geltend machen, da er bei einer Untervermietung erstmals ab Juni 2018 monatlich 750,00 € erzielt hätte.
18
Mit anwaltlichem Schreiben des Prozessbevollmächtigten der Klägerin vom 31.10.2018 (Anlage K 8) teilte dieser dem anwaltlichen Vertreter des Beklagten u.a. mit, dass die Klagepartei durch die nicht erteilte Erlaubnis zur Teiluntervermietung ihre Vermieterpflichten nicht verletzt habe. Eine entsprechende Erlaubnis sei nicht zu erteilen, da der Beklagte sein angeblich berechtigtes Interesse bislang nicht im rechtlich gebotenen Umfang dargelegt habe. Einzelheiten zu seinen wirtschaftlichen Verhältnissen habe der Beklagte bislang nicht mitgeteilt. Er wies darauf hin, dass ein Einverständnis der Klägerin mit einer Entlassung von Herrn … aus dem Mietverhältnis nicht erteilt worden sei. Die Schadensersatzforderung des Beklagten wurde als unbegründet zurückgewiesen. Er wies zudem darauf hin, dass die nächste Eigentümerversammlung am 03.12.2018 stattfinden solle und die Möglichkeit einer gütlichen Erledigung der Angelegenheit gemeinsam im Vorfeld der Eigentümerversammlung erörtert werden könne. Für den Fall, dass bei dem Beklagten ein entsprechendes Interesse vorhanden sein sollte, möge eine Rückmeldung bis 09.11.2018 erfolgen.
19
Mit E-Mail vom 09.11.2018 (Anlage K 9) bat der Prozessbevollmächtigte des Beklagten um eine Fristverlängerung zur Rückmeldung bis zum 16.11.2018, welche entsprechend gewährt wurde (Anlage K 10).
20
Die Klägerin mahnte in der Folge die nach ihrer Auffassung bestehenden Mietrückstände in Höhe von 10.187,00 € bei dem Beklagten an, forderte diesen unter Fristsetzung bis zum 20.03.2019 auf, den vorgenannten Betrag zu zahlen und stellte für den Fall, dass der Beklagte die Mietrückstände nicht ausgleichen werde, die Kündigung des Mietverhältnisses in Aussicht.
21
Eine gütliche Einigung kam nicht zustande.
22
In der klägerischen Eigentümerversammlung vom 19.03.2019 wurde die … als neue Hausverwalterin zum 01.05.2019 bestellt.
23
In der ordentlichen Eigentümerversammlung am 24.04.2019 (Protokoll Anlage K 15) wurde die seinerzeit noch zuständige Hausverwaltung … gemäß TOP 4a) einstimmig bevollmächtigt und beauftragt, das Mietverhältnis mit dem Beklagten und dem Zeugen … über die verfahrensgegenständliche Wohnung fristlos und fristgemäß, gleich aus welchem Rechtsgrund, zu kündigen. Gemäß TOP 4b) wurde sie auch ermächtigt, die jetzigen Prozessbevollmächtigten der Klägerin mit der außergerichtlichen und gerichtlichen Geltendmachung von Rechten und der Durchsetzung bestehender Ansprüche aus dem verfahrensgegenständlichen Mietverhältnis zu beauftragen und hierzu einen Auftrag zur Klageerhebung zu erteilen.
24
Mit E-Mail vom 21.07.2019 (Anlage K 16 Rückseite) an die nunmehr zuständige Hausverwaltung … bat der Beklagte um Klärung des weiteren Vorgehens, um für „beide Seiten eine friedliche Lösung zu erreichen“. Er wies darauf hin, dass bei dem klägerseits angemahnten Betrag von 12.437,00 € aus seiner Sicht der seinerseits entstandene Schaden in Form von entgangenen Mieteinnahmen in Höhe von 750,00 € monatlich gerechnet ab Juni 2018 nicht einberechnet worden sei. Daher sei hier nur noch eine Summe von 2.313,87 € offen. Hierzu würde er sich gerne mit der Hausverwaltung abstimmen und ein Zahlungsziel vereinbaren. Zudem bat der Beklagte erneut um Erlaubnis, das zweite Schlafzimmer an den Zeugen … untervermieten zu dürfen.
25
Mit E-Mail vom 22.07.2019 (Anlage K 16) teilte Herr … von der nunmehr zuständigen Hausverwaltung … dem Beklagten Folgendes mit:
„(…) die Eigentümer haben sich durch folgenden Beschluss vom 24.04.2019 für eine Kündigung Ihres Mietvertrages ausgesprochen:
Die Hausverwaltung wird bevollmächtigt und beauftragt, das Mietverhältnis mit Herrn … und … über die Wohnung … des Hauses … fristlos und fristgemäß und gleich aus welchem Rechtsgrund zu kündigen.
Einstimmig angenommen.
Dieser Beschluss wurde noch unter der Vorverwalterin gefasst. Auch als neue Verwalterin ab dem 01.05.2019 bindet uns dieser Beschluss, d.h. wir haben keine Handlungsalternativen Ihnen gegenüber, als die Kündigung auszusprechen. Diesbezüglich gibt es aber noch rechtlichen Klärungsbedarf, diese Fragen werden z. Zt. geklärt. Die Frage einer Kündigung ist ja eng mit Ihren Schadensersatzforderungen verknüpft, was die Sache nicht einfacher macht. (…) Sobald hier eine klare Rechtsbasis geschaffen ist, werden wir entweder Ihnen gegenüber die Kündigung aussprechen müssen oder die Gemeinschaft mitteilen müssen, dass der Beschluss aus rechtlichen Gründen nicht umsetzbar ist.
Momentan können wir Ihnen nicht genau sagen, „wohin der Hase läuft“.
(…)“.
26
Mit Schreiben vom 23.07.2019 (Anlage K 17) beauftragte die Hausverwaltung … die Prozessbevollmächtigten der Klägerin, alle rechtlich gebotenen Schritte einzuleiten.
27
Im Zeitraum Juni 2018 bis August 2020 zahlte der Beklagte nicht die vereinbarte Miete, sondern unterschiedliche Beträge, in den Monaten Oktober 2018 bis einschließlich März 2019 überhaupt keine Miete mehr. Insgesamt zahlte der Beklagte im genannten Zeitraum lediglich 16.082,00 €. Weiterhin bestanden Guthaben aus der Betriebskostenabrechnung 2017 in Höhe von 839,20 € und aus der Betriebskostenabrechnung 2018 in Höhe von 373,13 €.
28
Am 21.08.2019 leistete der Beklagte zum Ausgleich rückständiger Mieten an die Klägerin eine Sonderzahlung in Höhe von 2.387,00 €.
29
Mit Schreiben der … Hausverwaltung vom 18.05.2020 (Anlage K 12) kündigte die Klägerin dem Beklagten und dem Zeugen … fristlos sowie hilfsweise ordentlich wegen Zahlungsverzugs für den Zeitraum vom Juni 2018 bis April 2020 und forderte ihn zur Zahlung von behaupteten Mietrückständen in Höhe von insgesamt 18.093,87 € auf. Nach dem Wortlaut der Kündigung sei als Nachweis „unserer Vertretungsmacht das beglaubigte Protokoll mit dem Beschluss zu unserer“ Bestellung als Verwalterin für das Gemeinschaftseigentum im Sinne des Wohnungseigentumsgesetzes „diesem Schreiben beigefügt“. Der Kündigung war unstreitig ein Beschluss der Eigentümerversammlung vom 19.03.2019 beigefügt, mit welchem die Hausverwaltung … zur neuen Hausverwaltung bestimmt wurde. Der Beschluss, mit dem die Hausverwaltung zur Kündigung berechtigt wurde, war der Kündigung nicht beigefügt.
30
Mit anwaltlichem Schreiben vom 02.06.2020 (Anlage K 14) wies der anwaltliche Vertreter des Beklagten die Kündigung gem. § 174 BGB zurück, da der Kündigung vom 18.05.2020 keine Vollmacht im Original beigefügt gewesen sei, sondern nur der Beschluss der Wohnungseigentümerversammlung vom 19.03.2019, der keine Berechtigung zur Beendigung des streitgegenständlichen Mietverhältnisses darstelle.
31
Mit Klageschrift vom 28.08.2020 kündigte die Klagepartei vorsorglich das verfahrensgegenständliche Mietverhältnis erneut fristlos sowie hilfsweise ordentlich wegen Zahlungsverzugs.
32
Gegen den Zeugen … erging am 02.11.2020 ein Versäumnisurteil. Das Verfahren gegen den Beklagten wurde abgetrennt.
33
Mit Klageerwiderung vom 12.11.2020 (Bl. 16 ff. d.A.) erklärte der Prozessbevollmächtigte des Beklagten die Aufrechnung über eine Summe von 20.250,00 € gegen die wegen der Unwirksamkeit der vereinbarten Staffelmietvereinbarung der Klägerin zustehenden Mietzahlungen in Höhe von 17.173,67 €. Der Beklagtenvertreter legte hierbei einen Schadensersatzanspruch des Beklagten von monatlich 750,00 €, beginnend ab Juni 2018 bis einschließlich August 2020, zugrunde.
34
Mit Schriftsatz vom 22.03.2021 (Bl. 59 Rs d.A.) kündigte die Klägerin aufgrund des bisherigen Sachvortrags wegen Zahlungsverzugs erneut außerordentlich fristlos sowie hilfsweise ordentlich.
2. Erstinstanzlicher Klägervortrag
35
Die Klägerin meint, die Kündigung vom 18.05.2020 habe das Mietverhältnis wirksam außerordentlich beendet.
36
Durch das der Kündigung vom 18.05.2020 beigefügte notariell beglaubigte Protokoll der Eigentümerversammlung vom 19.03.2019 habe sich die … als Vertreterin der Klägerin legitimiert und somit ihre Bestellung im Sinne von § 26 WEG nachgewiesen.
37
Der Zeuge … sei nicht wirksam aus dem Mietverhältnis entlassen worden. Die Klägerin bestreitet mit Nichtwissen, dass der Zeuge … dem Zeugen … sinngemäß mitgeteilt habe, dass ein Austausch der Mietpartei vorgenommen werden könne und er von einer offiziellen Kündigung des Mietverhältnisses gegenüber der Eigentümergemeinschaft abgeraten habe. Ebenfalls bestreitet die Klägerin mit Nichtwissen, dass es laut Mitteilung des Zeugen … ausreichend gewesen sei, dass der Beklagte und Herr … sich untereinander auf eine Entlassungsvereinbarung verständigen würden.
38
Die Klägerin war erstinstanzlich unter Berücksichtigung der vereinbarten Staffelmiete und den geleisteten Zahlungen und Guthaben zunächst der Auffassung, dass der Beklagte und der Zeuge … ihr gesamtschuldnerisch 20.200,87 € schuldeten.
39
Am 22.07.2029 sei der Beklagte auch per E-Mail darüber informiert worden, dass mit Beschluss vom 24.04.2019 die Hausverwaltung bevollmächtigt und beauftragt worden sei, die Kündigung auszusprechen. Der Beklagtenvertreter habe die Kündigung vom 18.05.2020 daher nicht gem. § 174 BGB zurückweisen können. Der Beklagte habe im Übrigen das Auftreten der Verwalterin auch sonst immer gegen sich gelten lassen. Die Zurückweisung der Kündigung durch den Beklagten sei daher auch aus diesem Grunde treuwidrig.
40
Sie beantragte erstinstanzlich die Verurteilung des Beklagten zur Räumung und Herausgabe der verfahrensgegenständlichen Wohnung sowie, diesen gesamtschuldnerisch zu verurteilen, an die Klägerin 17.173,67 € zuzüglich Zinsen zu bezahlen.
41
Die Klägerin bestritt mit Nichtwissen, dass der Zeuge … die streitgegenständliche Wohnung habe nutzen wollen und ein entsprechendes Interesse bis August 2020 bestanden habe. Sie bestritt weiter mit Nichtwissen, dass dem Beklagten ein Schaden in Höhe von 750,00 € pro Monat entstanden sei und Herr … zur Zahlung einer Untermiete in entsprechender Höhe bereit gewesen wäre. Es hätte sich allenfalls um ein temporäres bzw. vorübergehendes Interesse des Zeugen … gehandelt und dieser wäre mittlerweile schon längst aus der Wohnung wieder ausgezogen.
42
Einen Anspruch auf Erteilung einer Erlaubnis zur Teiluntervermietung habe der Beklagte zu keiner Zeit gehabt. Der Beklagte habe seine berechtigten Interessen im Sinne von § 553 Abs. 1 BGB nicht hinreichend dargelegt.
3. Erstinstanzlicher Vortrag des Beklagten
43
Der Beklagte trug erstinstanzlich vor, dass die Staffelmietvereinbarung unwirksam sei und unter Berücksichtigung seiner unstreitigen Zahlungen und Guthaben lediglich ein Mietrückstand in Höhe von 17.173,67 € bestehe. Die Klägerin habe kein Recht zur Kündigung gehabt, da der Beklagte mit Schadensersatzansprüchen wegen der verweigerten Untermieterlaubnis aufgerechnet habe. Er hätte eine Untermiete von 750,00 € erzielt, was im streitgegenständlichen Zeitraum 20.250,00 € ausgemacht hätte. Er habe auch einen Anspruch auf Erteilung einer Untervermietungserlaubnis gehabt, da mit mündlicher Genehmigung des damaligen Hausverwalters, dem Zeugen … sein Mitmieter, der Zeuge …, aus dem Mietverhältnis ausgeschieden sei. Dadurch habe sich seine finanzielle Situation nachträglich verändert, weshalb er ein berechtigtes Interesse an der Erteilung gehabt habe.
44
Ein Beschluss der Eigentümerversammlung vom 24.04.2019 habe dem Kündigungsschreiben vom 18.05.2020 nicht beigelegen. Der Kündigung habe lediglich ein Beschluss der Wohnungseigentümerversammlung vom 19.03.2019 beigelegen, ein entsprechender Beschluss zur Berechtigung zur Beendigung des streitgegenständlichen Mietverhältnisses sei der Kündigung vom 18.05.2020 nicht beigefügt gewesen.
45
Die Kündigung sei unwirksam, da die Rüge der Bevollmächtigung nicht zur Vorlage der Originalvollmacht geführt habe.
4. Urteil des Amtsgerichts vom 17.06.2021,
46
Mit Urteil vom 17.06.2021 verurteilte das Amtsgericht den Beklagten, die verfahrensgegenständliche Wohnung zu räumen und an die Klägerin herauszugeben sowie gesamtschuldnerisch mit dem Zeugen … an die Klägerin 17.173,67 € nebst Zinsen seit 24.09.2020 zu zahlen. Im Übrigen wies das Amtsgericht die Klage ab.
47
Das Amtsgericht führte im Wesentlichen aus, dass die Klagepartei gegen den Beklagten einen Anspruch auf Zahlung von 17.173,6 € gemäß § 553 Abs. 2 BGB habe. Da die Staffelmietvereinbarung mangels Einhaltung der Jahresfrist des § 557a Abs. 2 Satz 1 BGB unwirksam sei, habe die zuletzt geschuldete monatliche Miete 1.365,00 € betragen.
48
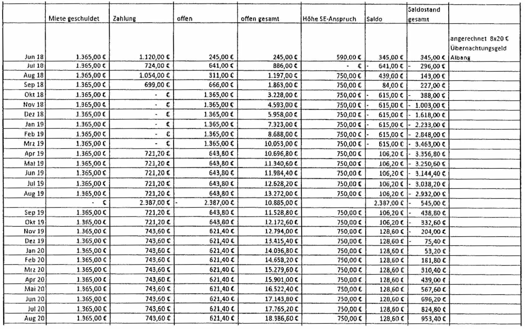
Unter Berücksichtigung der Zahlungen des Beklagten und seiner Guthaben ergebe sich ein Saldo von 17.173,67 €.
49
Der Beklagte habe keinen Schadensersatzanspruch wegen einer nicht erteilten Untermieterlaubnis gemäß § 280 BGB.
50
Die Voraussetzungen für eine Untermieterlaubnis und damit einer Verpflichtung des Vermieters, diese zu erteilen, hätten nicht vorgelegen. Der Mieter müsse ein berechtigtes Interesse an der Gebrauchsüberlassung an den Dritten haben, welches insbesondere aus einer Verschlechterung der wirtschaftlichen Verhältnisse des Mieters hergeleitet werden könne. Hier liege entgegen den Ausführungen des Beklagten keine Verschlechterung der wirtschaftlichen Verhältnisse vor.
51
Der Beklagte habe im Innenverhältnis zum Zeugen … als Mitmieter ein Befriedigungsrecht gemäß § 426 BGB. Die Gesamtschuld des Zeugen … hinsichtlich der Miete sei nicht dadurch entfallen, dass er aus dem Wohnobjekt ausgezogen sei.
52
Eine Entlassungsvereinbarung zwischen dem Vermieter und dem Beklagten sowie dem Zeugen … sei nicht schlüssig vorgetragen worden, weshalb eine Beweiserhebung nicht erforderlich gewesen sei. Unstreitig existiere keine schriftliche Vereinbarung. Für eine entsprechende mündliche Vereinbarung fehle es neben einer konkreten Darlegung des Gesprächsinhaltes an einem schlüssigen Vortrag. Bereits nach dem (als richtig unterstellten) Vortrag des Beklagten fehle es an entsprechenden übereinstimmenden Willenserklärungen.
53
Mit dem damaligen Hausverwalter sei nach Angaben des Beklagten über den Ablauf einer möglichen Entlassung gesprochen worden. Es sei insbesondere besprochen worden, dass eine etwaige Erklärung von der Hausverwaltung gegengezeichnet werde, was nicht erfolgt sei. Dies könne verschiedene Gründe haben, gegebenenfalls auch den, dass es an einer Beschlussfassung der Eigentümergemeinschaft (Bevollmächtigung zur Entlassung) gefehlt habe. Der so vorgetragene Gesprächsablauf könne nicht, wie der Beklagte behaupte, so ausgelegt werden, dass der Hausverwalter unabhängig von einer Gegenzeichnung die Entlassung bereits mündlich genehmigt habe. Der Beklagte müsse sich auch vorwerfen lassen, dass er sich um eine klärende Vereinbarung hätte kümmern müssen. Jedem Laien sei klar, dass man sich nicht einseitig einer vertraglichen Verpflichtung entziehen könne.
54
Im nachgelassenen Schriftsatz vom 10.05.2021 sei der Gesprächsinhalt nicht weiter konkretisiert worden. In die behauptete Vorab-Genehmigung der Untervermietung durch den Hausverwalter für den Fall des Auszugs könne ebenfalls keine Entlassungsvereinbarung hineininterpretiert werden.
55
Das verfahrensgegenständliche Mietverhältnis sei durch die fristlose Kündigung vom 18.05.2020 gem. § 543 Abs. 2 Nr. 3b BGB wirksam beendet worden, da sich der Beklagte mit einem erheblichen, zwei Monatsmieten weit übersteigenden Betrag in Zahlungsverzug befunden habe.
56
Eine Zurückweisung der Kündigung mangels Vollmachtsvorlage sei gemäß § 174 S. 2 BGB ausgeschlossen. Nach dem vorgelegten Kündigungsschreiben habe die Bevollmächtigung der Verwaltung als Beschlussprotokoll vom 24.04.2019 (Anlage K 15) beigelegen. Sollte, so der Vortrag des Beklagten, ein anderes Protokoll beigefügt gewesen sein, so sei dies unerheblich, da bereits mit E-Mail vom 22.07.2019 (Anlage K16) die Bevollmächtigung unstreitig mitgeteilt worden sei.
57
Die Willensbildung zur Kündigung sei mit Vorlage des Beschlusses der Eigentümerversammlung vom 24.04.2019 (Anlage K 15) nachgewiesen worden.
58
Im Hinblick auf die erheblichen Mietrückstände sei keine Räumungsfrist zu gewähren.
5. Vortrag der Berufung
59
Gegen dieses Urteil richtet sich die Berufung des Beklagten.
60
Der Beklagte beantragt:
Das Urteil des Amtsgerichts München, Aktenzeichen 425 C 3385/21, verkündet am 17.06.2021, wird aufgehoben und die Klage wird abgewiesen.
a) Wirksame Zurückweisung der Kündigung vom 18.05.2020
61
Der Beklagte rügt im Wesentlichen, dass das Amtsgericht rechtsfehlerhaft von einer nicht wirksamen Zurückweisung der Kündigung vom 18.05.2020 mangels Vollmachtsvorlage ausgegangen sei. Unstreitig habe der fristlosen Kündigung vom 18.05.2020 keine Originalvollmacht beigelegen. Als Bevollmächtigung sei ein Beschlussprotokoll der Eigentümergemeinschaft vom 24.04.2019 nicht beigelegt gewesen. Soweit das Amtsgericht behaupte, eine Beifügung einer Originalvollmacht oder eines Originalbeschlussprotokolls sei nicht nötig gewesen, da mit E-Mail vom 22.07.2019 (Anlage K16) die Bevollmächtigung unstreitig mitgeteilt worden sei, sei eindeutig, dass eine Mitteilung einer angeblichen Bevollmächtigung per E-Mail nicht die Vollmachtsvorlage einer nachfolgend erklärten fristlosen Kündigung im Original ersetzen könne.
b) Bestehen einer Aufrechnungslage
62
Das Amtsgericht habe zu Unrecht angenommen, es bestünde keine Aufrechnungslage, da dem Beklagten keine Schadensersatzansprüche wegen nicht erteilter Untermietererlaubnis nach § 280 BGB zustünden.
63
Nach der Entscheidung des BGH, VIII ZR 349/13, stünden dem Mieter bei rechtswidrig verweigerter Erlaubnis zur Untervermietung Schadensersatzansprüche gegen den Vermieter zu.
64
Der Beklagte habe ein berechtigtes Interesse an der Gebrauchsüberlassung an einen Dritten gehabt.
65
Vorliegend habe der Beklagte geltend gemacht, die Wohnung sei für ihn allein zu groß, ferner liege eine Verschlechterung seiner wirtschaftlichen Verhältnisse aufgrund der Tatsache vor, dass er wegen Austritts des Mieters … nunmehr alleine die volle Miete bezahlen müsse. Bei Betrachtung der wirtschaftlichen Lage des Mieters komme es nicht darauf an, ob eine Gesamtschuld des Beklagten und des Mieters … wegen unrechtmäßigen alleinigen Austritts aus dem Mietverhältnis vorliege, es komme alleine darauf an, ob der Mitmieter … tatsächlich noch Miete bezahle oder nicht.
66
Aufgrund der unstreitigen Nichtzahlung der Miete durch den Mitmieter … liege evident eine Verschlechterung der wirtschaftlichen Verhältnisse des Beklagten vor.
c) Mündliche Entlassungserklärung
67
Das Amtsgericht mache die Wirksamkeit der Entlassungserklärung von der Schriftform abhängig. Zugunsten des Mieters seien aber auch mündliche Vereinbarungen möglich, wenn damit auf das Schriftformerfordernis verzichtet werde. Nach Auffassung des Beklagten sei nie Voraussetzung gewesen, dass eine Entlassungserklärung von der Hausverwaltung schriftlich gegengezeichnet werden müsste. Tatsächlich sei die Entlassung des Mieters … bereits mündlich vom Hausverwalter genehmigt worden, ohne dass dieser die Entlassung davon abhängig gemacht habe, dass die Hausverwaltung oder die Eigentümergemeinschaft diese Entlassung noch schriftlich bestätigen müsse.
68
Hinsichtlich der näheren Einzelheiten wird inhaltlich verwiesen auf die Ausführungen der Berufung im Schriftsatz vom 01.07.2021.
69
Mit Schriftsatz vom 16.09.2021 (Bl. 108 d.A.) legte der Beklagte u.a. einen nicht unterschriebenen Untermietvertrag (Stand Mai 2018) sowie eine E-Mail des Zeugen … vom 29.05.2018 an den Beklagten vor, wonach dieser bereits ab dem 15.05.2018 bei dem Beklagten in die verfahrensgegenständliche Wohnung hätte einziehen können.
6. Vortrag der Berufungserwiderung
70
Die Klägerin verteidigt das erstinstanzliche Urteil.
71
Die Klägerin beantragt,
die Berufung des Beklagten zurückzuweisen.
a) Keine wirksame Zurückweisung der Kündigung
72
Das Amtsgericht sei zutreffend unter Verweis auf die Regelung des § 174 S. 2 BGB von einer unwirksamen Zurückweisung der Kündigung ausgegangen.
73
Wie das Amtsgericht zunächst zutreffend festgestellt habe, sei der Kündigung vom 18.05.2020 (Anlage K 12) das notariell beglaubigte Protokoll der Eigentümerversammlung vom 19.03.2019 (Anlage K 15) beigefügt gewesen, so dass der Beklagte spätestens mit Zugang dieser Kündigungserklärung Kenntnis von der Bevollmächtigung der Verwalterin gehabt habe.
74
Selbst wenn man diesen Aspekt außer Acht ließe, hätte der Beklagte spätestens aufgrund der E-Mail vom 27.07.2019 Kenntnis von der besagten Bevollmächtigung gehabt (Anmerkung der Kammer: Gemeint ist wohl die E-Mail vom 22.07.2019, Anlage K 16).
b) Keine Schadensersatzansprüche des Beklagten/Aufrechnungslage
75
Das erstinstanzliche Gericht habe zu Recht die Existenz von Schadensersatzansprüchen des Beklagten aufgrund einer ihm nicht erteilten Erlaubnis zur Teiluntervermietung verneint.
76
Der Mitmieter des Beklagten, der Zeuge …, sei zu keiner Zeit aus dem streitgegenständlichen Mietverhältnis entlassen worden. Dieser hafte somit vollumfänglich für die fälligen Mieten. Die wirtschaftlichen Verhältnisse des Beklagten bzw. des Mieters seien somit unverändert geblieben.
77
Ein berechtigtes Interesse des Beklagten im Sinne von § 553 Abs. 1 S. 1 BGB sei auch nicht durch den seinerzeitigen Auszug des Zeugen … entstanden.
78
Hierdurch habe der Zeuge … lediglich von der Möglichkeit zur Nutzung der Mietsache nach Maßgabe des Mietvertrages (vorerst) keinen Gebrauch mehr gemacht. Da er jedoch weiterhin Partei des Mietvertrages gewesen sei, hätte er ohne Weiteres jederzeit das Recht gehabt, wieder in die Wohnung einzuziehen.
79
Würde man nun ein berechtigtes Interesse des Beklagten an einer Teiluntervermietung bejahen und dieser tatsächlich aufgrund einer entsprechenden Genehmigung einen Teil der Wohnung untervermieten, würde dieser Umstand dem Zeugen … einen erneuten Einzug in die Wohnung unmöglich machen.
c) Entlassung aus dem Mietverhältnis/Schriftform
80
Das Amtsgericht habe zutreffend darauf abgestellt, dass es insbesondere an substantiiertem Sachvortrag des Beklagten zu dem Inhalt einer vermeintlich mündlich erteilten Entlassungserklärung fehle.
81
Im Übrigen würde eine einseitige Erklärung des Vermieters auch nicht genügen, da sich sämtliche Vertragsparteien über die Entlassung einer Partei aus dem Mietverhältnis einig seien und ein entsprechender Konsens in zeitlichem Zusammenhang von allen Beteiligten kundgetan bzw. hätte erklärt werden müssen.
82
Dies sei vorliegend nicht der Fall gewesen. Entsprechenden Sachvortrag hierzu ließen die erstinstanzlichen Ausführungen des Beklagten vollständig vermissen.
83
Hinsichtlich der näheren Einzelheiten wird inhaltlich verwiesen auf die Ausführungen der Berufungserwiderung im Schriftsatz vom 12.08.2021.
6. Berufungsverfahren
84
Die Kammer hat den Beklagten in den mündlichen Verhandlungen am 08.09.2021 sowie am 17.11.2021 informatorisch angehört und Beweis erhoben durch uneidliche Einvernahme der Zeugen … und …. Hinsichtlich des Ergebnisses der informatorischen Anhörung und der Beweisaufnahme wird verwiesen auf die Protokolle der mündlichen Verhandlungen vom 08.09.2021 (Bl. 98 d.A. ff.) sowie vom 17.11.2021 (Bl. 122 ff. d.A.).
II.
85
Die zulässige Berufung des Beklagten ist vollumfänglich begründet.
86
Der Klägerin steht gegen den Beklagten kein Anspruch auf Räumung und Herausgabe der verfahrensgegenständlichen Wohnung zu:
87
Ein eine Kündigung rechtfertigender Zahlungsrückstand lag nicht vor.
88
Der Beklagte zahlte zwar teils gar keine Miete oder jeweils nur einen Teil der an sich vertraglich geschuldeten Miete, er konnte insoweit aber mit einem Schadensersatzanspruch aufrechnen.
89
Deswegen war der Beklagte auch nicht zur Zahlung ausstehender Mietschulden zu verurteilen.
90
Entgegen der Auffassung des Amtsgerichts stand dem Beklagten ein Anspruch auf Erteilung der Erlaubnis zur Teiluntervermietung gem. § 553 Abs. 1 S. 1 BGB zu (unten 1.)
91
Durch die rechtswidrige Versagung der Erlaubnis zur Teiluntervermietung hat sich die Klägerin schadensersatzpflichtig gemacht (unten 2.)
92
Aufgrund der E-Mail des Beklagten vom 21.07.2019 ist von einer konkludenten Aufrechnung des Beklagten mit seinem Schadensersatzanspruch in Höhe von monatlich 750,00 € auszugehen. Ein die außerordentliche fristlose oder ordentliche Kündigung rechtfertigender Zahlungsverzug liegt damit nicht vor (unten 3).
1. Anspruch des Beklagten auf Erteilung der Erlaubnis zur Untervermietung
93
Der Beklagte hat gegen die Klägerin einen Anspruch auf Erteilung der Erlaubnis zur Untervermietung.
94
Dabei kann der Vortrag der Klägerin, der Zeuge … sei nicht wirksam aus dem streitgegenständlichen Mietverhältnis entlassen worden, zu ihren Gunsten als wahr unterstellt werden.
a) Grundsätzliche Voraussetzungen des Anspruchs gem. § 553 Abs. 1 S. 1 BGB
95
Die Bestimmung des § 553 Abs. 1 S. 1 BGB macht den Anspruch auf Gestattung der Untervermietung lediglich vom Vorliegen eines berechtigten Interesses des Mieters sowie davon abhängig, dass er nur einen Teil des Wohnraums einem Dritten überlässt.
96
Durch den Begriff des (bloß einfachen) berechtigten Interesses wollte der Gesetzgeber im Vergleich zu dem im Regierungsentwurf noch enthaltenen „dringenden Interesse“ (vgl. BT-Drucks. IV/806, S. 2) - ähnlich wie bei der Eigenbedarfskündigung - sämtliche vernünftigen Gründe des Mieters im weitesten Sinn genügen lassen (vgl. BGH ZMR 2006, 261).
97
Als berechtigt ist jedes, auch höchstpersönliche Interesse des Mieters von nicht ganz unerheblichem Gewicht anzusehen, das mit der geltenden Rechts- und Sozialordnung in Einklang steht (BGH NJW 2006, 1200, Rn. 8).
98
Der Mieter muss plausible und wahrheitsgemäße Angaben zum berechtigten Interesse darlegen; ein Anspruch des Vermieters, dass ihm für solche Angaben geeignete vorgelegt werden, bevor er über die Erteilung der Erlaubnis eine Entscheidung trifft, besteht nicht (Schmid/Harz/Riecke, § 553 Rn. 7).
99
Der Zweck des § 553 Abs. 1 BGB besteht darin, dem Mieter die Wohnung, an der er festhalten will, zu erhalten (BGH NZM 2014, 631 Rn. 25). Dieser Gesichtspunkt ist maßgebend dafür, dass der Gesetzgeber dem Mieter - anders als in den Fällen des § 540 Abs. 1 BGB - nicht nur ein Sonderkündigungsrecht, sondern einen Anspruch auf Gestattung der Untervermietung gewährt. Dabei stellt § 553 Abs. 1 BGB keine hohen Hürden für einen Anspruch auf Gestattung der Untervermietung auf. Es genügt, dass der Mieter ein nach Vertragsschluss entstandenes berechtigtes Interesse an der Untervermietung vorweisen kann und den Wohnraum nicht vollständig dem Dritten überlässt.
100
Dabei ist in Anbetracht des mieterschützenden Zwecks des § 553 Abs. 1 BGB, dem Mieter den Wohnraum zu erhalten, ein großzügiger Maßstab anzulegen (BGH NZM 2014, 631 Rn. 30; BGH NJW 2006, 1200 Rn. 11). Das Mietverhältnis soll gerade auch dann aufrechterhalten werden, wenn der Mieter den Wohnraum teilweise einem anderen zum Gebrauch überlassen möchte (BGH NJW 2006, 1200 Rn. 11).
101
Auch bereits der Wunsch, nach dem Auszug eines bisherigen Wohngenossen nicht allein zu leben, kann ein nach Abschluss des Mietvertrags entstandenes berechtigtes Interesse an der Überlassung eines Teils des Wohnraums im Rahmen einer Untervermietung begründen (BGHZ 92, 213 [219] = NJW 1985, 130). Entsprechendes gilt bei einer aufgrund einer nachträglichen Entwicklung entstandenen Absicht, Mietaufwendungen teilweise durch eine Untervermietung zu decken (BGH NZM 2018, 325).
b) Ausreichende Darlegung des wirtschaftlichen Interesses des Beklagten
102
Nach den vorstehenden Grundsätzen hatte und hat der Beklagte gegen die Klägerin einen Anspruch auf Erteilung der Erlaubnis zur Untervermietung:
103
Zur Überzeugung der Kammer hat der Beklagte mit Schreiben an die zuständige Hausverwaltung vom 15.05.2018 (Anlage K 2) gegenüber der Klägerin in ausreichendem Maße sein berechtigtes Interesse an einer Aufnahme einer Teiluntervermietung gem. § 553 Abs. 1 S. 1 BGB dargelegt.
104
Im Schreiben vom 15.05.2018 führte der Beklagte hinreichend aus, dass das alleinige Bewohnen der verfahrensgegenständlichen Wohnung für ihn „finanziell ein zu hohes Aufkommen“ sei.
105
Auch legte er dar, dass der Zeuge … als Laboringenieur in München tätig sei und er beabsichtige, das zweite Schlafzimmer von 12 m² an diesen unterzuvermieten.
106
Zudem hatte die Klägerin spätestens seit der E-Mail des Zeugen … vom 15.11.2017 (Anlage B 3) an die Mitarbeiterin der damals zuständigen Hausverwaltung …, Frau … Kenntnis vom tatsächlichen Auszug des Zeugen … aus der streitgegenständlichen Wohnung. Das entsprechende Wissen der bei der damals zuständigen Hausverwaltung … beschäftigen Frau … ist der Klägerin zuzurechnen.
107
Zwar ist der Klägerin zuzugeben, dass der Beklagte keinen Anspruch auf Entlassung des Zeugen … aus dem streitgegenständlichen Mietvertrag und alleinige Fortführung des Mietverhältnisses hatte. Denn eine gesetzliche Verpflichtung des Vermieters, den Mitmieter aus dem Mietvertrag zu entlassen, existiert nicht.
108
Der Anspruch des Beklagten auf Erteilung der Erlaubnis zur teilweisen Untervermietung setzt nach Auffassung der Kammer aber gerade keine förmliche Entlassung des Zeugen … aus dem verfahrensgegenständlichen Mietvertrag voraus.
109
Aus dem Schreiben des Beklagten vom 15.05.2018 geht deutlich hervor, dass dem Beklagten die alleinige Entrichtung der vollständigen Miete wirtschaftliche Schwierigkeiten bereitet und er daher die Aufnahme einer zweiten Person in die verfahrensgegenständliche Wohnung zur (Mit-)Finanzierung der monatlichen Miete begehrte. Dies war nach dem Auszug des Zeugen … auch räumlich möglich.
110
Aufgrund des dargelegten wirtschaftlichen Interesses des Beklagten ergibt sich aus dem Schreiben vom 15.05.2018 bei lebensnaher Auslegung auch für einen objektiven Dritten, dass es dem Beklagten gerade darum ging, einen Teil der Wohnung nach dem Auszug des Zeugen … aus wirtschaftlichen Gründen wieder einer zweiten Person zu überlassen.
111
Der Beklagte ist daher mit dem Schreiben vom 15.05.2019 der ihm obliegenden Darlegungslast für sein berechtigtes Interesse an der Untervermietung nachgekommen.
112
Der Einwand der Klägerin, ein berechtigtes Interesse des Beklagten an einer Teiluntervermietung bestehe nicht, da sich der Beklagte im Wege des Gesamtschuldnerausgleichs gemäß § 426 Abs. 2 S. 1 BGB in Höhe des hälftigen Betrages beim Zeugen … schadlos halten könne, verfängt nicht.
113
Nach Auffassung der Kammer entfällt das berechtigte Interesse des Beklagten an einer Teiluntervermietung nicht allein deshalb, weil der ausgezogene bisherige Mitmieter nicht förmlich aus dem streitgegenständlichen Mietvertrag entlassen wurde. Die Tatsache, dass der Zeuge … weiterhin förmlich Partei des verfahrensgegenständlichen Mietverhältnisses ist, schließt das berechtigte Interesse des Beklagten an einer Teiluntervermietung der verfahrensgegenständlichen Wohnung nicht aus. Maßgeblich für die Beurteilung des Vorliegens eines berechtigten Interesses im Sinne des § 553 Abs. 1 S. 1 BGB sind vielmehr die faktischen wirtschaftlichen Verhältnisse des Mieters. Diese hat der Beklagte, wie oben aufgezeigt, ausreichend dargelegt.
114
Die Verweisung des Beklagten auf einen durchzuführenden Gesamtschuldnerausgleich ist bereits deshalb lebensfremd, da der Zeuge … aus der verfahrensgegenständlichen Wohnung ausgezogen ist und nunmehr anderweitig Mietzahlungen bzw. sonstige Unterbringungskosten zu entrichten hat. Allein die bloße theoretische Möglichkeit des Gesamtschuldnerausgleichs beseitigt das berechtigte Interesse des Beklagten an einer Teiluntervermietung nicht. Der Mieter - hier der Beklagte - soll durch die Untervermietung vielmehr gerade davor bewahrt werden, einer Zahlungsverzugskündigung nur deshalb ausgesetzt zu sein, weil der Mitmieter ausgezogen ist und seinen Mietanteil im Innenverhältnis nicht mehr beisteuert.
115
Umstände, aus denen sich ein entgegenstehendes Interesse der Klägerin im Sinne des § 553 Abs. 1 S. 2 BGB ergibt, wurden bereits erstinstanzlich klägerseits nicht vorgetragen. Vielmehr behält die Klägerin bei Erteilung der Erlaubnis zur Teiluntervermietung weiterhin zwei Gesamtschuldner, nämlich den Zeugen … und den Beklagten.
116
Für den Vortrag des Klägervertreters in der mündlichen Berufungsverhandlung am 08.09.2021 dahingehend, dass klägerseits vom Beklagten Informationen zu den Einkünften des Zeugen … angefordert worden seien, der Beklagte diese aber nicht erteilt habe, blieb die Klägerin beweisfällig.
2. Schadensersatzanspruch des Beklagten
a) Schadensersatzanspruch des Beklagten dem Grunde nach
117
Nach Auffassung der Kammer war und ist somit die Verweigerung der Erteilung der Erlaubnis zur Teiluntervermietung rechtswidrig.
118
Verweigert der Vermieter unberechtigterweise die Zustimmung zur Untervermietung und unterlässt der Mieter diese daraufhin, hat der Vermieter für den entstandenen Mietausfallschaden in voller Höhe einzustehen (BGH NZM 2014, 631; Meyer-Abich, NZM 2020, 19, 24). Der Mieter kann dann Schadensersatz gem. § 280 Abs. 1 BGB in Höhe der entgangenen Untermiete abzüglich ersparter Kosten verlangen (Schmid/Harz/Riecke, § 553 Rn. 44, Meyer-Abich a.a.O.).
119
Gemäß § 280 Abs. 1 S. 2 BGB wird ein Verschulden der Klägerin vermutet. Die Klägerin hat diese Vermutung nicht widerlegen können. Die Klägerin unterlag vielmehr einer rechtlichen Fehleinschätzung, wobei ihr das Verschulden ihrer anwaltlichen Berater gem. §§ 278 BGB, 85 ZPO zuzurechnen ist.
120
Nach ständiger Rechtsprechung des BGH fordert der Geltungsanspruch des Rechts, dass der Verpflichtete grundsätzlich das Risiko eines Irrtums über die Rechtslage selbst trägt (BGH NJW 2006, 3271 Rn. 19). Daher stellt die höchstrichterliche Rechtsprechung in diesen Fällen an das Vorliegen eines unverschuldeten Rechtsirrtums seit je her strenge Anforderungen (grdsl. BGH NJW 1951, 398).
121
Nach diesen Maßstäben hat die Klägerin die gegen sie sprechende Verschuldensvermutung nicht widerlegt. Vielmehr hätte sie bei der gebotenen sorgfältigen Prüfung der Rechtslage schon im Hinblick auf die im Urteil des BGH vom 23.11.2005 (NZM 2006, 220 = NJW 2006, 1200) angestellten Erwägungen zum mieterschützenden Regelungszweck des § 553 Abs. 1 BGB und zum Vorliegen eines berechtigten Interesses bei Auszug eines Mitmieters an einen anderen Ort mit der Möglichkeit rechnen müssen, dass der Beklagte gem. § 553 Abs. 1 BGB eine Erlaubnis zur Untervermietung beanspruchen durfte und eine solche erteilen müssen.
122
Dem Beklagten steht somit grundsätzlich ein Schadensersatzanspruch gegen die Klägerin in Höhe der monatlich entgangenen Mieteinnahmen aus einer Teiluntervermietung zu.
b) Höhe des Schadensersatzanspruchs
123
Nach dem Ergebnis der informatorischen Anhörung des Beklagten in der mündlichen Verhandlung vom 08.09.2021 und der Einvernahme des Zeugen … in der mündlichen Verhandlung vom 17.11.2021 steht zur Überzeugung der Kammer fest, dass der Zeuge … bei Erteilung der Teiluntervermietungserlaubnis die verfahrensgegenständliche Wohnung bezogen und eine monatliche Miete von 750,00 € entrichtet hätte.
124
Im Rahmen seiner informatorischen Anhörung gab der Beklagte an, der Untermietvertrag mit dem Zeugen … habe etwa ab dem 01.07.2018 gelten sollen. Genau wisse er das allerdings nicht mehr. Diese Angaben waren glaubhaft, da sie in den wesentlichen Punkten mit der Aussage des Zeugen … übereinstimmen:
125
Die Einvernahme des Zeugen … ergab, dass dieser die verfahrensgegenständliche Wohnung zum Juni 2018 bezogen und diese wohl auch mindestens bis August 2020 genutzt hätte.
126
Der Zeuge … schilderte im Rahmen seiner Einvernahme, er habe ungefähr im Mai 2018 ein Inserat bei Ebay-Kleinanzeigen gesehen, welches ihn auf die Wohnung des Beklagten hingewiesen habe. Er habe sich dann mit dem Beklagten getroffen und unterhalten. Es habe sich dann ziemlich schnell gezeigt, dass es „passen“ würde. Die Frage sei nur gewesen, ob der Beklagte an ihn untervermieten dürfe. Er habe das Zimmer direkt vorne rechts in der verfahrensgegenständlichen Wohnung, das Eckzimmer, bekommen sollen.
127
Er habe den Beklagten, nachdem sie sich einig gewesen seien, gefragt, ob er etwa zwei Nächte in der Woche bei ihm übernachten dürfe. Das habe der Beklagte bejaht. So hätten sie das dann in der Zeit so um Mai/Juni 2018 herum praktiziert.
128
Im Juni 2018 habe er dann parallel seine Wohnung in Regensburg aufgelöst, so dass er dann fest beim Beklagten gewohnt habe. Die Bestätigung des Vermieters habe noch ausgestanden. Schließlich habe der Beklagte dem Vermieter dann eine Frist von zwei Wochen gesetzt, mit der Bitte, sich nun endlich zu seiner Anfrage zu erklären. Nachdem auch darauf keine Antwort eingetroffen sei, sei ihm die ganze Sache dann irgendwie zu heikel geworden und er sei Ende Juli/Anfang August 2018 weitergezogen zu einem Freund.
129
Gefragt, was er denn auf Dauer an Miete hätte zahlen sollen, antwortete der Zeuge, das wisse er nicht mehr genau, es wären so um die 700,00 € gewesen.
130
Die Frage der Kammer, ob es auch 750,00 € gewesen sein könnten, bejahte der Zeuge. Er habe dort auch dauerhaft wohnen wollen.
131
Er wisse nicht mehr genau, wie viel er dann tatsächlich an den Beklagten bezahlt habe. Er könne nur sagen, dass er vermute, dass er im Juli 2018 dann die 750,00 € bezahlt habe. Im Übrigen habe er zuvor pro Übernachtung so um die 20,00 € gezahlt. Er habe vor Juli 2018 ungefähr zweimal pro Woche bei dem Beklagten übernachtet, im Juli 2018 sei er dann häufiger da gewesen.
132
Einen Mietvertrag hätten er und der Beklagte nicht geschlossen, da alles noch in der Schwebe gewesen sei.
133
Bis heute wohne er eigentlich mit einer kurzen Unterbrechung immer irgendwo in einer Art Wohngemeinschaft.
134
Er arbeite immer noch in München. Vermutlich, so könne er das heute nur nachträglich prognostizieren, würde er wohl immer noch dort wohnen.
135
Die Angaben des Zeugen waren glaubhaft. Er berichtete ruhig und widerspruchsfrei, Erinnerungslücken gab er unumwunden zu. Zweifel an der Glaubhaftigkeit der Angaben des Zeugen hegt die Kammer nicht.
136
Nach dem Ergebnis der Beweisaufnahme steht somit fest, dass der Zeuge … im Juni 2018 zweimal wöchentlich bei dem Beklagten übernachtete, wofür er jeweils pro Übernachtung 20,00 € an den Beklagten zahlte.
137
Die Zahlung von 160,00 € (8 Übernachtungen zu je 20,00 €) ist daher auf den dem Beklagten für Juni 2018 zustehenden Schadensersatzanspruch in Höhe von 750,00 € anzurechnen.
138
Zudem hat die Beweisaufnahme insofern ergeben, dass der Zeuge … im Juli 2018 an den Beklagten 750,00 € Miete leistete. Diese Summe ist ebenfalls auf den Schadensersatzanspruch des Beklagten für Juli 2018 vollumfänglich anzurechnen.
139
Zudem hat die Beweisaufnahme ergeben, dass der Zeuge … auch bereit gewesen wäre, dauerhaft in der verfahrensgegenständlichen Wohnung zu wohnen und hierfür monatlich eine Miete von 750,00 € zu zahlen.
140
Im Übrigen ist aufgrund des angespannten Münchner Mietmarktes gerichtsbekannt, dass der Beklagte das von ihm hierfür vorgesehene Zimmer ohne Weiteres für eine monatliche Miete in Höhe von 750,00 € auch an einen anderen Dritten hätte untervermieten können.
141
Unter Berücksichtigung der Sonderzahlung des Beklagten am 21.08.2019 in Höhe von 2.387,00 € und dem Ergebnis der Beweisaufnahme ergibt sich folgende Berechnung:
142
Zum Zeitpunkt der Kündigung vom 18.05.2020 bestand damit ein Guthaben des Beklagten in Höhe von 953,40 €, wobei hierbei die unstreitigen Guthaben des Beklagten aus der Betriebskostenabrechnung 2017 in Höhe von 839,20 € und in Höhe von 373,13 € für die Betriebskostenabrechnung 2018 noch keine Berücksichtigung gefunden haben.
3. Aufrechnung des Beklagten
143
Mit dem ihm zustehenden Schadensersatzanspruch hat der Beklagte auch wirksam aufgerechnet.
144
Mit E-Mail des Beklagten vom 21.07.2019 (Anlage K 16 Rs) rechnete der Beklagte jedenfalls konkludent mit dem ihm zustehenden Schadensersatzansprüchen auf.
145
Mit der Mitteilung des Beklagten an die Hausverwaltung, in dem klägerseits genannten Betrag von 12.437,00 € sei der entstandene Schaden von entgangenen Mieteinnahmen in Höhe von monatlich 750,00 €, gerechnet ab Juni 2018, nicht einberechnet worden, ergibt sich jedenfalls konkludent, dass der Beklagte mit dem ihm zustehenden Schadensersatzansprüchen aufrechnete und dies auch zukünftig tun werde.
146
Ein kündigungsrelevanter Zahlungsrückstand des Beklagten bestand daher weder zum Zeitpunkt der Kündigung vom 18.05.2020 noch zum Zeitpunkt der Kündigungen vom 22.08.2020 und vom 22.03.2021.
147
Auf die Frage, ob der Beklagte die Kündigung vom 18.05.2020 mangels Beigabe einer Originalvollmacht gemäß § 174 S. 1 BGB wirksam zurückweisen konnte, kommt es daher nicht an.
148
Auch ein Zahlungsanspruch der Klägerin gegen den Beklagten ist nach der vorstehenden Berechnung nicht gegeben.
149
Nach alldem war das amtsgerichtliche Urteil abzuändern und die Klage vollumfänglich abzuweisen.
III. Nebenentscheidungen:
150
Die Nebenentscheidungen beruhen auf den §§ 91 Abs. 1, 709 ZPO.
151
Gründe für die Zulassung der Revision bestanden nicht.
152
Die Rechtssache hat weder grundsätzliche Bedeutung, noch erfordert die Fortbildung des Rechts oder die Sicherung einer einheitlichen Rechtsprechung eine Entscheidung des Revisionsgerichts, § 543 Abs. 2 Satz 1 ZPO.
153
Der Rechtsstreit wirft keine entscheidungserheblichen, klärungsbedürftigen und klärungsfähigen Rechtsfragen auf, die sich über den Einzelfall hinaus in einer unbestimmten Vielzahl von Fällen stellen können und deshalb für die Allgemeinheit von besonderer Bedeutung sind (vgl. BeckOK ZPO/Kessal-Wulf, § 543 Rn. 19).
154
Die Voraussetzungen für eine Zulassung zur Fortbildung des Rechts sind gegeben, wenn der Einzelfall Veranlassung gibt, Leitsätze für die Auslegung von Gesetzesbestimmungen des materiellen oder formellen Rechts aufzustellen oder Gesetzeslücken auszufüllen. Hierzu besteht Anlass, wenn es für die rechtliche Beurteilung typischer oder jedenfalls verallgemeinerungsfähiger Lebenssachverhalte an einer richtungsweisenden Orientierungshilfe („Leitentscheidung“) ganz oder teilweise fehlt (BeckOK ZPO/Kessal-Wulf, § 543 Rn. 23 m.w.N.).
155
Dies ist vorliegend nicht der Fall.
156
Es handelt sich um eine Entscheidung im Einzelfall.
157
Die Festsetzung des Streitwerts beruht auf §§ 47 Abs. 1 S. 1, 41 Abs. 2, Abs. 1 S. 1 GKG. Maßgeblich ist der Jahresbetrag der Nettomiete (12 × 970,00 €) zuzüglich des Werts der Zahlungsklage in Höhe von 17.173,67 €.